Governance and Transparency Committee

Meeting Agenda

20 August

2020

 

Governance and Transparency Committee LATE REPORTS

 

 

Item No.

Item Title

Page No.

 

 

1

Business Outstanding – Matters Lying on the table to be dealt with

 

**Cameron Park - Swifts Leagues Club Ltd

 

 

3

** Item includes confidential papers

 


Governance and Transparency Committee NO. 1

 

20 August 2020

 

LATE REPORTS

 

BUSINESS OUTSTANDING – MATTERS LYING ON THE TABLE TO BE DEALT WITH

 

1.           **Cameron Park - Swifts Leagues Club Ltd

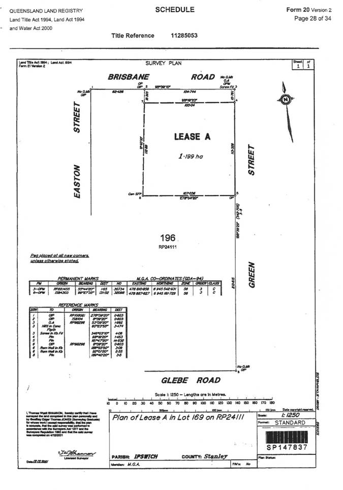
This is a report concerning the tenure of Swifts Leagues Club Ltd (Swifts) at Cameron Park and the consideration of possible options regarding the future of the facility. Swifts currently occupy part of the park under a lease with Council, which is described as Lease A in Lot 169 on RP24111 on SP147837. The lease commenced on 6 September 2001 for a twenty (20) year term with two (2) by ten (10) year options and Swifts have expressed an interest in purchasing the land and facility that they currently occupy from Council. This is a report requesting the repeal of a previous decision adopted at the Council Special Meeting of 27 June 2019.

 

Recommendation

This matter was laid on the table at the General Purposes Committee of 21 July 2020.

 

A.      That Council’s previous decision adopted at the Council Special Meeting of 27 June 2019, be repealed.

 

B.      That Council receive this report and provide its direction on one of the options presented, being:

1.    Retain the Land

2.    Direct Disposal to Swifts

3.    Disposal to Swifts following Community Consultation

  

** Item includes confidential papers

and any other items as considered necessary.


Governance and Transparency Committee

Meeting Agenda

20 August

2020

 

Doc ID No: A6434329

 

ITEM:            1

SUBJECT:      Cameron Park - Swifts Leagues Club Ltd

AUTHOR:      Property Services Manager

DATE:            19 August 2020

 

 

Executive Summary

This is a report concerning the tenure of Swifts Leagues Club Ltd (Swifts) at Cameron Park and the consideration of possible options regarding the future of the facility. Swifts currently occupy part of the park under a lease with Council, which is described as Lease A in Lot 169 on RP24111 on SP147837. The lease commenced on 6 September 2001 for a twenty (20) year term with two (2) by ten (10) year options and Swifts have expressed an interest in purchasing the land and facility that they currently occupy from Council. This is a report requesting the repeal of a previous decision adopted at the Council Special Meeting of 27 June 2019.

RECOMMENDATION

This matter was laid on the table at the General Purposes Committee of 21 July 2020.

 

A.      That Council’s previous decision adopted at the Council Special Meeting of 27 June 2019, be repealed.

 

B.      That Council receive this report and provide its direction on one of the options presented, being:

1.    Retain the Land

2.    Direct Disposal to Swifts

3.    Disposal to Swifts following Community Consultation

RELATED PARTIES

Mr Brett McGrath, Property Services Manager and author of the report, declares for the Committee’s consideration that he has previously worked in the Swifts Leagues Club and played sport for the club in 2002.  There is therefore potential for a perception of a conflict of interest.  This potential perception of conflict of interest has been managed by ensuring that Mr Brett McGrath is not a decision-maker and his line managers have carefully reviewed the information being presented to the decision-makers.

Advance Ipswich Theme

Caring for the community

Purpose of Report/Background

Cameron Park is located at 95A Brisbane Road, Booval and is described as Lot 169 on RP24111 (5.729 ha). Swifts has a twenty (20) year lease with two (2) by ten (10) year options for Lease A in Lot 169 on RP24111 (1.119ha), which commenced on 6 September 2001 for the occupation of the land and facility as a sports and recreation club.

Swifts has expressed an interest in purchasing the land and facility that they currently occupy under lease from Council. A previous decision was adopted at the Council Special Meeting of 27 June 2019 to dispose of the proposed lot, described as part of Lot 169 on RP24111 (see attached map) to Swifts. The recommendation of the disposal included that Swifts prepare a master plan of their proposal for the site and undertake community consultation to satisfy that they have sufficient community support for the disposal.

Swifts undertook the community consultation in November/December 2019 and sent the results to Council for consideration. Upon review of the community consultation results provided by Swifts it was concluded that the process lacked the information required for the public to determine and articulate an informed position. Council advised Swifts that they need to address the uncertainties and inconsistencies raised through the community consultation by undertaking a more open and transparent process.

Swifts has not undertaken any further community consultation following the decision by Council and therefore has not met the requirements of the previous recommendation by Council. Additionally, Swifts has requested that the newly elected Council review and consider the previous decision and provide a direction on whether the disposal of the land is supported.

Therefore, the previous resolution adopted at the Council Special Meeting of 27 June 2019 is required to be repealed and the below options be considered for a new resolution by Council.

The options for Council to consider in this matter are as follows:

1.   Retain the Land – Continue under the terms of the lease between Council and Swifts.

2.   Direct Disposal to Swifts – Sell the land and facility to Swifts at market value.

3.   Disposal to Swifts Following Community Consultation - Sell the land and facility to Swifts at market value after Council undertakes community consultation on disposal.

Option 1 – Retain the Land

Under this option, Swifts continue its occupation of the facility under the terms of the lease agreement until the end of the lease on 5 September 2041. The facility is nearing the end of its useful life and will require capital upgrades in the future to sustain the longevity of the asset. While the lease is based on non-commercial terms and provides a rent reflective of that offered to community groups, the onus will be on Swifts to make aesthetic and functional upgrades to the facility. Council may have some obligation to rectify any safety issues and possibly some structural issues with the facility.

 

Option 2 – Direct Disposal to Swifts

Under section 236 of the Local Government Regulations 2012 (Qld) (Regulations), Council can dispose of a valuable non-current asset without going through the tender and auction requirements under section 227, if the disposal is to a community organisation (refer to section 236(1)(b)(ii)), and Council (before the disposal) has decided by resolution that the exception contained in section 236(1) may apply.

 

In determining a Community Organisation, schedule 8 of the Regulations defines it as:

Community Organisation” means—

(a) an entity that carries on activities for a public purpose; or

(b) another entity whose primary object is not directed at making a profit.

 

Swifts Leagues Club Ltd is a public company limited by guarantee registered with the Australian Securities and Investments Commission (ASIC).  Swifts is a not-for-profit entity and under Rule 3(2) of the Swifts’ constitution it provides that the objects of the organisation is ‘for the benefit of the local or general community’

 

Further, rules 5.1 and 6 provide that the organisation’s income must be applied to its objects and that the income and property of the organisation cannot be provided to its members.  Further, upon a winding up, rule 112 provides that the property held by Swifts must be provided to an organisation with similar objects.

On the basis of the above, Swifts can be regarded as a Community Organisation for the purposes of the Regulation. Council can directly dispose of the land and facility to Swifts if by resolution the land is declared surplus to Council’s requirements and the exception for Swifts being a “community organisation” under the Regulation is applied.

Option 3 - Disposal to Swifts Following Community Consultation

As with Option 2, Council can dispose of the land and facility to Swifts if the land is declared surplus to Council’s requirements in accordance with the exception under 236 (1) (b) of the Regulation, that Swifts is a “community organisation”. With Option 3, the intent is to engage with the Ipswich community to determine its support prior to the disposal of the land and facility to Swifts.  Council will coordinate the public consultation and Swifts will be required to provide a detailed proposal, inclusive of a master plan, which will form the basis of the consultation.  This option will require Swifts to provide all essential information on their proposal upfront to ensure the community is fully informed of their intention with the land and facility to support the disposal.

The final determination of the public consultation is subject to Council being satisfied with the outcome of the community consultation process and that the sale to Swifts Leagues Club is, overall, in the best interests of the community.

Legal/Policy Basis

This report and its recommendations are consistent with the following legislative provisions:

Local Government Act 2009

Local Government Regulation 2012

Planning Act 2016

RISK MANAGEMENT IMPLICATIONS

Option 1 – Given Swifts has made limited progress to develop the facility over the term of the lease, there is a low to moderate risk that they may not be able to sustain the management of the facility long-term.

Option 2 - Given that Swifts has undertaken community consultation and Council has determined the results of it as unsatisfactory, there is a low to moderate risk of community concern and adverse reaction to a direct sale of the asset, without further community consultation.

Option 3 – There is a moderate risk that at the conclusion of the community consultation led by Council, the support for the sale of the asset to Swifts may still be determined as not in the best interests of the community.

Financial/RESOURCE IMPLICATIONS

If option 2 or 3 are adopted, Council will need to dispose of the asset in accordance with the Local Government Regulation 2012. Under section 236 (3) of the Regulation, Council can only dispose of the asset at equal to, or more than, market value. This will require an assessment by a registered valuer to determine the market value at the time of the sale.

A previous market assessment was undertaken in 2019 and this is attached in the confidential documents, however a new assessment will be required to be reflective of the current market.

COMMUNITY and OTHER CONSULTATION

Community consultation on the proposed sale was completed by Swifts. However, the results of this were unsatisfactory and not supported by Council. Swifts did not provide a master plan of their proposal as requested by Council and the majority of the feedback from the community was they had not been fully informed on the matter. Swifts were given an opportunity to redress the issues by undertaking a revised community consultation process but declined. The advice to Swifts is in the letter attached.

 

 

Conclusion

 

It is recommended that Council review the three options in this report and make an informed decision on the resolution concerning the tenure of Swifts Leagues Club Ltd (Swifts) at Cameron Park.

Attachments and Confidential Background Papers

 

1.

Lease - Council and Swifts Leagues Club - 95A Brisbane Road, Booval.

2.

Amendment to Lease - Council and Swifts Leagues Club Limited - 95a Brisbane Road Booval

3.

Proposed Disposal Land Area - Survey Plan SP310956 - Draft

4.

Council Report 27 June 2019 - Disposal of Part of 95A Brisbane Road, Booval - Swifts Leagues Club Ltd (A5915100)

5.

Letter to Swifts - Outcomes of Community Consultation Process

 

 

 

CONFIDENTIAL

6.

Valuation - 23 January 2019 - Part of 95a Brisbane Rd, Booval - Revaluation on 1.633ha  

 

Brett McGrath

Property Services Manager

I concur with the recommendations contained in this report.

Tony Dunleavy

Manager Legal and Governance (General Counsel)

I concur with the recommendations contained in this report.

Sonia Cooper

General Manager Corporate Services

I concur with the recommendations contained in this report.

Brett McGrath

Property Services Manager

I concur with the recommendations contained in this report.

Sean Madigan

General Manager - Coordination and Performance

 

“Together, we proudly enhance the quality of life for our community”


Governance and Transparency Committee

Meeting Agenda

20 August

2020

Item 1 / Attachment 1.

PDF Creator


 

PDF Creator


 

PDF Creator


 

PDF Creator


 

PDF Creator


 

PDF Creator


 

PDF Creator


 

PDF Creator


 

PDF Creator


 

PDF Creator


 

PDF Creator


 

PDF Creator


 

PDF Creator


 

PDF Creator


 

PDF Creator


 

PDF Creator


 

PDF Creator


 

PDF Creator


 

PDF Creator


 

PDF Creator


 

PDF Creator


 

PDF Creator


 

PDF Creator


 

PDF Creator


 

PDF Creator


 

PDF Creator


 

PDF Creator


 

PDF Creator


 

PDF Creator


 

PDF Creator


 

PDF Creator


 

PDF Creator


 

PDF Creator


 

PDF Creator


 

PDF Creator


 

PDF Creator


Governance and Transparency Committee

Meeting Agenda

20 August

2020

Item 1 / Attachment 2.

PDF Creator


 

PDF Creator


 

PDF Creator


 

PDF Creator


 

PDF Creator


Governance and Transparency Committee

Meeting Agenda

20 August

2020

Item 1 / Attachment 3.

PDF Creator


 

PDF Creator


 

PDF Creator


Governance and Transparency Committee

Meeting Agenda

20 August

2020

Item 1 / Attachment 4.

PDF Creator


 

PDF Creator


 

PDF Creator


 

PDF Creator


 

PDF Creator


 

PDF Creator


 

PDF Creator


Governance and Transparency Committee

Meeting Agenda

20 August

2020

Item 1 / Attachment 5.

PDF Creator


 

PDF Creator


 

PDF Creator