IPSWICH

CITY

COUNCIL

 

 

AGENDA

 

 

of the

 

 

 

AGENDA

 

Finance and Governance Committee

 

 

Tuesday, 18 March 2025

10 minutes after the conclusion of the Infrastructure, Planning and Assets Committee or such later time as determined by the preceding committee

 

Council Chambers, Level 8

1 Nicholas Street, Ipswich

 

 

 

 


 

MEMBERS OF THE Finance and Governance Committee

Councillor Paul Tully (Chairperson)

Councillor Jacob Madsen (Deputy Chairperson)

Mayor Teresa Harding

Deputy Mayor Nicole Jonic

Councillor Marnie Doyle

Councillor Andrew Antoniolli

Councillor Jim Madden

 


Finance and Governance Committee

Meeting Agenda

18 March

2025

 

Finance and Governance Committee AGENDA

 

 

Item No.

Item Title

Page No.

 

Welcome to Country or Acknowledgment of Country

 

 

Declarations of Interest

 

 

Business Outstanding

 

 

Confirmation of Minutes

 

1

Confirmation of Minutes of the Finance and Governance Committee No. 2025(01) of 18 February 2025

11

 

Officers’ Reports

 

2

Information and Communications (ICT) Policy Update

23

3

Right to Information Legislative Update

28

4

**Establish Schedule of Trust for Road Purpose on proposed Lot 3 on SP349831 (currently Lot 1 on SP307972) in the Nicholas Street Precinct

35

5

**Disposal of Easement through Flinders-Goolman Conservation Estate for Access to Adjoining Land

62

6

**Procurement - Contract 5601 - Garden Organic Material Processing

66

7

**Procurement: Preferred Supplier Arrangement for Provision of Electrical Trade Services

70

8

Procurement - Whole of Government Banking Services (Corporate Purchase and Travel Cards)

74

9

**Plant Hire (Wet Hire) Services Increase Contract Spend

83

10

2025-2026 Fees and Charges - Early Approval for Animal Management, Health and Regulatory Services and Selected Road Regulation Fees

87

11

Monthly Financial Performance Report - February 2024

131

 

Notices of Motion

 

 

Matters Arising

 

 

Questions / General Business

 

** Item includes confidential papers

 


Finance and Governance Committee NO. 2025(02)

 

18 March 2025

 

AGENDA

 

 

Welcome to Country or Acknowledgement of Country

 

 

DECLARATIONS OF INTEREST IN MATTERS ON THE AGENDA

 

 

BUSINESS OUTSTANDING

 

 

Confirmation of Minutes

1.           Confirmation of Minutes of the Finance and Governance Committee
No. 2025(01) of 18 February 2025

 

Recommendation

That the minutes of the Finance and Governance Committee held on 18 February 2025 be confirmed.

 

 

Officers’ Reports

 

2.           Information and Communications (ICT) Policy update

The ICT Policy is due for review, and the relevant council officers agree that the Policy is not required for effective Council oversight of ICT service delivery.

 

Recommendation

That the Information and Communications Policy is repealed and not replaced noting the policy is operational in nature and that other governance mechanisms detailed in the Background of this report are in place providing oversight of ICT services.

 

3.           Right to Information Legislative Update

This is a report concerning updates to the Right to Information Act 2009 under the Information Privacy and Other Legislation Amendment Act 2023 (IPOLA). Effective from 1 July 2025, these amendments will enhance the application process for applicants and modify how the Council processes access requests for information.

 

Recommendation

That the Right to Information Policy (as set out in Attachment 1) be repealed.

 

4.           **Establish Schedule of Trust for Road Purpose on proposed Lot 3 on SP349831 (currently Lot 1 on SP307972) in the Nicholas Street Precinct

This is a report concerning the establishment of a schedule of trust for road purpose over proposed Lot 3 SP349831 within the Nicholas Street Precinct.  Ipswich City Council is currently the freehold owner of the land, which is to be reconfigured, and will also be the trustee.  The schedule of trust for road purpose is to be established to satisfy a condition of development approval number 5201/2019/RAL and enable the registration of the subdivision plan to create the approved lots. 

Although Ipswich City Council is currently the freehold owner of the land which is being reconfigured, establishing a schedule of trust for road purpose, for which Ipswich City Council is the trustee, is considered to be a change of ownership for the property (going from being for Ipswich City Council’s benefit absolutely to Ipswich City Council as trustee for a trust which limits how the land can be used).  Accordingly, this will constitute disposal of a non-current asset, for which (pursuant to the requirements of the Local Government Regulation), a resolution of Council is required.

 

Recommendation

 

A.           That Council resolves that the exception at section 236(1)(c)(i) of the Regulation applies to the disposal of an interest in land at part of 11 Nicholas Street, IPSWICH more particularly described as proposed Lot 3 on SP349831 (currently Lot 1 on SP307972) (Council Land) (Council file 6344) for road purpose, because the land will be non-rateable after disposal.

B.           That pursuant to Section 257(1)(b) of the Local Government Act 2009, Council resolve to delegate to the Chief Executive Officer the power to take “contractual action” pursuant to section 238 of the Regulation, in order to implement Council’s decision.

 

5.           **Disposal of Easement through Flinders-Goolman Conservation Estate for Access to Adjoining Land

This is a report concerning the disposal of an Easement interest traversing the Flinders-Goolman Conservation Estate. The Easement will provide access to the adjoining land-locked property being utilised as an environmental offset.

Recommendation

A.           That pursuant to section 236(2) of the Local Government Regulation 2012 (Regulation), Council resolve that the exception at section 236(1)(c)(iv) of the Regulation applies to the disposal of an interest in land (Easement) at
155-331 Spowers Road, Goolman, more particularly described as part of Lot 160 on Plan CH312094, because the disposal will be to an adjoining landowner.

B.           That Council grant an Easement, for the purpose of Access (Council file reference 6180) to the Walker Corporation Pty Ltd (Grantee) for an approximate sum of $5,000 excluding GST payable to Council as consideration for the Easement.

C.           That pursuant to Section 257(1)(b) of the Local Government Act 2009, Council resolve to delegate to the Chief Executive Officer the power to take “contractual action” pursuant to section 238 of the Regulation, in order to implement Council’s decision.

 

6.           **Procurement - Contract 5601 - Garden Organic Material Processing

This is a report concerning the establishment of a contractual arrangement for the provision of Garden Organic Material Processing.

 

Recommendation

A.           That pursuant to Section 228 of the Local Government Regulation 2012 (Regulation), Council award Tender No. VP436292 for the provision of Garden Organic Material Processing to Remondis Australia Pty Ltd (Supplier).

B.           That Council enter into a contractual arrangement with the Supplier at an approximate purchase price of $67,000,000 excluding GST over the entire term, being a term of three (3) years, with options for extensions by mutual agreement, of up to seven (7) years.

C.           That pursuant to Section 257(1)(b) of the Local Government Act 2009, Council resolve to delegate to the Chief Executive Officer the power to take “contractual action” pursuant to section 238 of the Regulation, in order to implement Council’s decision.

 

7.           **PROCUREMENT: Preferred Supplier ARRANGEMENT for Provision of Electrical Trade Services

This is a report concerning the establishment of preferred supplier arrangements with one (1) Primary and two (2) Secondary companies for the provision of Electrical Trade Services to Ipswich City Council.


 

Recommendation

A.           That pursuant to Section 233 of the Local Government Regulation 2012 (Regulation), Council establish Preferred Supplier Arrangements for the provision of Electrical Trade Services with the suppliers detailed in Attachment VP4296636 RTA - Electrical Trade Services of this report.

B.           That pursuant to Section 233(8) of the Regulation, Council resolve that it is satisfied that a term of longer than two (2) years will result in better value for Council.

C.           That under the Preferred Supplier Arrangement, Council’s approximate spend may exceed $8M excluding GST subject to Council’s annual adopted budget over the entire term, being an initial term of three (3) years, with options for extension at the discretion of Council (as purchaser), of an additional two (2) X one (1) year terms, total term being five (5) years.

D.           That Council may enter into a contractual arrangement with any of the aforementioned suppliers.

E.           For those individual contractual arrangements that exceed $2,000,000 excluding GST, pursuant to Section 257(1)(b) of the Local Government Act 2009, Council resolve to delegate to the Chief Executive Officer the power to take “contractual action” pursuant to section 238 of the Regulation, in order to implement Council’s decision in accordance with section 13(3) of the Local Government Act 2009.

 

8.           Procurement - Whole of Government Banking Services (Corporate Purchase and Travel Cards)

This is a report concerning Whole of Government (WoG) banking services.  Queensland Government, represented by Queensland Treasury, has recently completed an extensive tender process for banking services. The new Master Agreement (contract) for banking services includes allowance for other agencies, such as Ipswich City Council (Council), to enter into Agency Service Agreement/s (ASA) with the appointed service providers to procure banking services under the same terms.

Council’s banking services to date have been procured through such an arrangement to take advantage of the favourable terms negotiated by the Queensland Treasury. Council now has the option to sign a Service Order, and an ‘Accession Agreement’ to become a party to the agreement for Corporate Purchase Card and Travel Card services.

 

Recommendation

A.           That pursuant to Section 235(f) of the Local Government Regulation 2012 (Regulation), Council utilises government agency exception for the provision of Queensland Whole of Government Banking Services with Citibank, N.A. (ABN:34 072 814 058) (Supplier) who is a party to the government agency contractual arrangement.

B.           That Council enter into a contractual arrangement with Citibank, N.A. (ABN:34 072 814 058), for a $0 (zero) value, over the entire term, being a term of five (5) years with two separate extension options both being three (3) years, at the discretion of The State of Queensland acting through Queensland Treasury

C.           That Council may enter into ancillary contractual arrangements with the supplier, as allowed by the government agency contractual arrangement.

D.           That pursuant to Section 257(1)(b) of the Local Government Act 2009, Council resolve to delegate to the Chief Executive Officer the power to take “contractual action” pursuant to section 238 of the Regulation, in order to implement Council’s decision.

 

9.           **Plant Hire (Wet Hire) Services Increase Contract Spend

This is a report concerning an update on the increased expenditure associated with the recent extension for Preferred Supply Arrangement for Plant Hire (Wet Hire) Services completed in November 2024 under the final option term for Contract #13484.

 

Recommendation

A.           That Council note an increase in expenditure to Councils preferred supply arrangement for the provision of Plant Hire (Wet Hire) Services from $11,500,000.00 to $18,179,000.00 based on current spend to date and the forecasted spend anticipated during the final option term due to expire
29 November 2025.

B.           That Council note the increase in expenditure with the attached suppliers with a cumulative spend with individual contractors greater than $2,000,000.00

C.           That pursuant to Section 257(1)(b) of the Local Government Act 2009, Council resolve to delegate to the Chief Executive Officer the power to take “contractual action” pursuant to Section 238 of the Regulation, in order to implement Council’s decision.

 

10.         2025-2026 Fees and Charges - early approval for Animal Management, Health and Regulatory Services and selected Road Regulation fees

This is a report concerning the fees for animal management, public health, food business and road regulation licences and associated services for the 2025-2026 financial year.  It is proposed to adopt this selection of fees and charges ahead of the main budget process for the forthcoming financial year, so as to allow licence and registration renewals to be issued with 30-60 days advanced notice.  All other fees will be submitted to Council for approval at the scheduled meeting of 29 May 2025.  

 

Recommendation

That the proposed fees and charges for animal management, public health, food business and road regulation licences and associated services, as detailed in Attachment 1, be adopted with an effective date of 1 July 2025.

 

11.         Monthly Financial Performance Report - February 2024

This is a report concerning Ipswich City Council’s (Council) financial performance for the period ending 28 February 2025, submitted in accordance with section 204 of the Local Government Regulation 2012.

 

Recommendation

That the report on Council’s financial performance for the period ending
28 February 2025, submitted in accordance with section 204 of the Local Government Regulation 2012, be considered and noted by Council.

 

 

NOTICES OF MOTION

 

 

MATTERS ARISING

 

 

QUESTIONS / GENERAL BUSINESS


Finance and Governance Committee

Meeting Agenda

18 March

2025

 

Finance and Governance Committee NO. 2025(01)

 

18 February 2025

 

Minutes

COUNCILLORS’ ATTENDANCE:

Councillor Paul Tully (Chairperson); Councillors Marnie Doyle, Andrew Antoniolli, Jim Madden, Pye Augustine (Observer) and David Martin (Observer)

COUNCILLOR’S APOLOGIES:

Councillor Jacob Madsen (Deputy Chairperson), Mayor Teresa Harding and Deputy Mayor Nicole Jonic

OFFICERS’ ATTENDANCE:

 

Chief Executive Officer (Sonia Cooper), General Manager Corporate Services (Matt Smith), General Manager Community, Cultural and Economic Development (Ben Pole), General Manager Environment and Sustainability (Kaye Cavanagh), Manager Infrastructure Strategy (Tony Dileo), Construction Manager Capital Delivery Branch (Pedro Baraza), Signature Projects Manager (Raees Rasool), Acting Manager Legal and Governance (General Counsel) (Allison Ferres-MacDonald), Senior Property Officer (Acquisitions and Disposals) (Bianca Gaudry), Manager Procurement (Tanya Houwen), Goods and Services Category Manager (Tim Steinhardt), Acting Chief Financial Officer (Christina Binoya), Treasury Accounting Manager (Paul Mollenhauer), Chief Audit Executive (Freddy Beck), ERP Program Manager (Gerard Nelson), Manager Media, Communications and Engagement (Mark Strong), Theatre Technician (Harrison Cate) and Theatre Technician (Max Moylan)

 

Recommendation 

Moved by Councillor Paul Tully:

Seconded by Councillor Marnie Doyle:

              Leave of Absence

 

That a leave of absence be granted for Mayor Teresa Harding, Deputy Mayor Nicole Jonic and Councillor Jacob Madsen.

AFFIRMATIVE                    NEGATIVE

Councillors:                      Councillors:

Tully                                         Nil

Doyle

Antoniolli

Madden

 

The motion was put and carried.

 

 

Acknowledgement of Country

 

Councillor Paul Tully (Chairperson) delivered the Acknowledgement of Country

 

DECLARATIONS OF INTEREST IN MATTERS ON THE AGENDA

 

Nil

 

BUSINESS OUTSTANDING

 

Nil

 

Confirmation of Minutes

 

1.           Confirmation of Minutes of the Finance and Governance Committee No. 2024(07) of 3 December 2024

Recommendation 

Moved by Councillor Andrew Antoniolli:

Seconded by Councillor Jim Madden:

That the minutes of the Finance and Governance Committee held on
3 December 2024 be confirmed.

 

AFFIRMATIVE                    NEGATIVE

Councillors:                      Councillors:

Tully                                         Nil

Doyle

Antoniolli

Madden

 

The motion was put and carried.

 

 

Officers’ Reports

 

2.           Review of Human Rights Policy

This is a report concerning the outcome of the mandatory 4-year review of the existing Human Rights Policy.  The Human Rights Policy remains current and requires no amendments.  It was considered by the Executive Leadership Team on 25 November and has been referred to the Finance and Governance Committee for noting.

 

Recommendation 

Moved by Councillor Marnie Doyle:

Seconded by Councillor Andrew Antoniolli:

That the report be received, and the contents noted.

 

AFFIRMATIVE                    NEGATIVE

Councillors:                      Councillors:

Tully                                         Nil

Doyle

Antoniolli

Madden

 

The motion was put and carried.

 

 

3.           Strategic Contracting Procedures

The spending of Council funds for goods, services and work is regulated by the Local Government Act 2009 (LGA) and Local Government Regulation 2012 (LGR) under procedures described as the ‘Default Contracting Procedures’ (DCP) and the ‘Strategic Contracting Procedures’ (SCP). Council has used the DCP to their maximum capability and is no longer the most advantageous mechanism for a Council intent on a more dynamic and strategic approach to contracting.

This is a report outlining the costs and benefits of adopting the SCP and seeks Council endorsement to publish a notice regarding adoption of those procedures.

 

Recommendation 

Moved by Councillor Andrew Antoniolli:

Seconded by Councillor Jim Madden:

A.           That the Strategic Contracting Procedures report be received and the contents noted.

B.           That Council publish a public notice, by newspaper advert and on the Council website, of: (a) the proposed resolution to apply Chapter 6 Part 2 of the Local Government Regulation 2012 to Council's contracts, (b) the day and time of the meeting where the resolution is to be considered, being the Finance and Governance Committee, 22 April 2025 at 9.00 am.

 

AFFIRMATIVE                    NEGATIVE

Councillors:                      Councillors:

Tully                                         Nil

Doyle

Antoniolli

Madden

 

The motion was put and carried.

 

 

4.           Proposed Acquisition of Land for INF04658 - Ripley Road and Fischer Road Upgrade Project - Stage 1

This is a report concerning a land requirement for project INF04658 - Ripley Road and Fischer Road upgrade. The land acquisition will facilitate the installation of overhead powerlines as part of the service relocations for the road upgrade.

 

“The attachment/s to this report are confidential in accordance with section 254J(3)(h) of the Local Government Regulation 2012.”

Recommendation 

Moved by Councillor Jim Madden:

Seconded by Councillor Andrew Antoniolli:

A.           That pursuant to Section 5(1)(b)(i) of the Acquisition of Land Act 1967, Council as “constructing authority” proceed to acquire land described in Confidential Attachment 1, for Road purpose.

B.           That in the first instance, the method of acquiring the subject land will be by agreement with the affected person/s in accordance with Division 3, Acquisition of Land Act 1967; however, if agreement cannot be reached, or operational timeframes intervene, the method of acquiring the subject land will be in accordance with Division 2, Acquisition of Land Act 1967.

C.           That pursuant to Section 257(1)(b) of the Local Government Act 2009, Council resolve to delegate to the Chief Executive Officer the power to take “contractual action” pursuant to section 238 of the Regulation, in order to implement Council’s decision.

D.           That Council be kept informed as to the progress and outcome of the acquisition.

 

AFFIRMATIVE                    NEGATIVE

Councillors:                      Councillors:

Tully                                         Nil

Doyle

Antoniolli

Madden

 

The motion was put and carried.

 

 

5.           RENEWAL OF LIQUID PETROLEUM GAS (LPG) FOR BUNDAMBA, AND GOODNA  AQUATIC CENTRES

This is a report concerning the renewal of the supply agreement for Liquid Petroleum Gas (LPG) for Bundamba and Goodna Aquatic Centres with Origin Energy Retail Ltd to enable continuity of gas supply to these facilities.

This report recommends that Council resolve that the exception under section 235(b) of the Local Government Regulation 2012 applies and that Council proceeds with the engagement of Origin Energy Retail Ltd to provide LPG Supply Agreement for Bundamba and Goodna Aquatic Centres for two (2) years.

 

Recommendation

 

A.           That pursuant to Section 235(b) of the Local Government Regulation 2012 (Regulation), Council resolve that the exception applies because of the specialised AND/OR confidential nature of the services that are sought and it would be impractical AND/OR disadvantageous to invite quotes OR tenders for the provision of Supply of LPG to Bundamba and Goodna Aquatic Facilities.

B.           That Council enter into a contractual arrangement (Council file reference number  Agreement Ref No 5561) with  Origin Energy Retail Ltd, at an approximate purchase price of $285,000.00 excluding GST over the entire term, being an initial term of two (2) years, with no options for extension.

C.           That pursuant to Section 257(1)(b) of the Local Government Act 2009, Council resolve to delegate to the Chief Executive Officer the power to take “contractual action” pursuant to section 238 of the Regulation, in order to implement Council’s decision.

 

Moved by Councillor Marnie Doyle

Seconded by Councillor Andrew Antoniolli

 

Councillor Paul Tully proposed an amendment to Recommendation B as follows:

 

B.           That Council enter into a contractual arrangement (Council file reference number  Agreement Ref No 5561) with  Origin Energy Retail Ltd, at an approximate purchase price of $285,000.00 excluding GST over the entire term, being a term of two (2) years, with no options for extension.

 

The mover and seconder of the original motion agreed to the proposed Recommendation B.

 


 

Recommendation 

Moved by Councillor Marnie Doyle:

Seconded by Councillor Andrew Antoniolli:

A.           That pursuant to Section 235(b) of the Local Government Regulation 2012 (Regulation), Council resolve that the exception applies because of the specialised AND/OR confidential nature of the services that are sought and it would be impractical AND/OR disadvantageous to invite quotes OR tenders for the provision of Supply of LPG to Bundamba and Goodna Aquatic Facilities.

B.           That Council enter into a contractual arrangement (Council file reference number  Agreement Ref No 5561) with  Origin Energy Retail Ltd, at an approximate purchase price of $285,000.00 excluding GST over the entire term, being a term of two (2) years, with no options for extension.

C.           That pursuant to Section 257(1)(b) of the Local Government Act 2009, Council resolve to delegate to the Chief Executive Officer the power to take “contractual action” pursuant to section 238 of the Regulation, in order to implement Council’s decision.

 

AFFIRMATIVE                    NEGATIVE

Councillors:                      Councillors:

Tully                                         Nil

Madsen

Harding

Jonic

Doyle

Antoniolli

Madden

 

The motion was put and carried.

 

 

6.           Gas Relocation for Springfield Parkway and Springfield Greenbank Arterial Road Upgrade Project

This is a report concerning gas relocation services for Springfield Parkway and Springfield Greenbank Arterial Road Upgrade Project.

Gas Relocation Services have been completed for Stage 1 and Stage 3 totalling $3.6m.

The recommendation is seeking approval for Stage 2 works valued at $4.425m which includes a fifty (50) percent contingency value of $1.475m.

Council is reimbursing APA AM (Allgas) Pty Limited (APA) as the asset owner of the gas network. Ipswich City Council is performing works on our own asset which is in close proximity to the gas network requiring alterations to progress the project deliverables.

 

Recommendation 

Moved by Councillor Marnie Doyle:

Seconded by Councillor Jim Madden:

A.           That pursuant to Section 235(a) of the Local Government Regulation 2012 (Regulation), Council resolve that the exception applies as it is satisfied that there is only one supplier who is reasonably available for the provision of gas relocation services for Springfield Parkway and Springfield Greenbank Arterial Road Upgrade Project.

B.           That Council continue its contractual arrangement with APA AM (Allgas) Pty Limited (APA), at an approximate purchase price of $8,085,232.48 excluding GST over the entire term.

C.           That pursuant to Section 257(1)(b) of the Local Government Act 2009, Council resolve to delegate to the Chief Executive Officer the power to take “contractual action” pursuant to section 238 of the Regulation, in order to implement Council’s decision.

 

AFFIRMATIVE                    NEGATIVE

Councillors:                      Councillors:

Tully                                         Nil

Doyle

Antoniolli

Madden

 

The motion was put and carried.

 

 

7.           Procurement: Intergraph (Hexagon) Spatial Software Maintenance

This is a report seeking a resolution by Council to continue the annual software maintenance renewal with Intergraph Corporation Pty Ltd for the Hexagon Geospatial APOLLO and IMAGINE products that are operationally utilised as part of Council’s existing spatial services, for a period of up to three (3) years commencing 1 April 2025, at an estimated cost of approximately seventy-five thousand dollars ($75,000) excluding GST for the full three (3) year period.

This matter is required as officers seek Council resolution that the exception under section 235(b) of the Local Government Regulation 2012 applies as the proprietary nature of the supplier’s products means that the incumbent supplier is the only supplier reasonably available to continue the provision of this software maintenance and it would be more costly and disadvantageous to Council to invite quotes or tenders for a comparative solution.

 

Recommendation 

Moved by Councillor Andrew Antoniolli:

Seconded by Councillor Jim Madden:

A.           That pursuant to Section 235(b) of the Local Government Regulation 2012 (Regulation), Council resolve that the exception applies because of the specialised nature of the services that are sought and it would be impractical and disadvantageous to invite quotes for the provision of  Hexagon Geospatial APOLLO and IMAGINE Software Maintenance.

B.           That Council enter into a contractual arrangement (Council file reference number  250110-000040) with  Intergraph Corporation Pty Ltd, at an approximate purchase price of $75,000 excluding GST over the entire term, being on a yearly or shorter basis as required for up to three (3) years.

 

AFFIRMATIVE                    NEGATIVE

Councillors:                      Councillors:

Tully                                         Nil

Doyle

Antoniolli

Madden

 

The motion was put and carried.

 

 

8.           PROCUREMENT - HUMAN RESOURCE INFORMATION SYSTEM (ELEVATEHR)

This is a report concerning the procurement and recommendation to negotiate and enter into contractual arrangements with Consortia 2 for the provision of Ipswich City Council’s Human Resource Information System and associated implementation, licensing and ongoing support.

 

“The attachment/s to this report are confidential in accordance with section 254J(3)(g) of the Local Government Regulation 2012.”

Recommendation 

Moved by Councillor Jim Madden:

Seconded by Councillor Marnie Doyle:

A.           That pursuant to Section 228 of the Local Government Regulation 2012 (Regulation), Council award Tender No. 230804-000072 for the provision of Human Resource Information System and associated implementation, licensing and ongoing support to Consortia 2 (Supplier).

B.           That Council enter into separate contractual arrangements with the Suppliers at an approximate total purchase price of $10,825,074 excluding GST over the entire term, being an initial term of five (5) years, with options for extension at the discretion of Council (as purchaser), of an additional two (2) X one (1) year terms.

C.           That pursuant to Section 257(1)(b) of the Local Government Act 2009, Council resolve to delegate to the Chief Executive Officer the power to take “contractual action” pursuant to section 238 of the Regulation, in order to implement Council’s decision.

 

AFFIRMATIVE                    NEGATIVE

Councillors:                      Councillors:

Tully                                         Nil

Doyle

Antoniolli

Madden

 

The motion was put and carried.

 

 

9.           Invitation as keynote speaker at the Institute of Internal Auditors Wellington New Zealand Conference 2025

This is a report related to an invitation to present as the keynote speaker at the Institute of Internal Auditors (IIA) New Zealand (NZ) Chief Audit Executives (CAE) Forum and Conference 2025 that will be held in Wellington, NZ. The topic will be focusing on their “40-year anniversary” and the future of internal auditing but must still be finalised with their Board and Education Committee, but the initial request is “Navigating the Future: Is Internal Audit at a Crossroads? – Ethical Challenges and Opportunities Paving the Way.”

 

Recommendation 

Moved by Councillor Andrew Antoniolli:

Seconded by Councillor Marnie Doyle:

That the Chief Audit Executive be approved to travel to New Zealand to present at the Chief Audit Executive Forum as part of the Institute of Internal Auditors Conference 2025.

 

AFFIRMATIVE                    NEGATIVE

Councillors:                      Councillors:

Tully                                         Nil

Doyle

Antoniolli

Madden

 

The motion was put and carried.

 

 

10.         Budget Amendment 2024-2025

This is a report concerning proposed amendment of the 2024-2025 budget, submitted in accordance with Section 170(3) of the Local Government Regulation 2012.

 

Recommendation 

Moved by Councillor Jim Madden:

Seconded by Councillor Andrew Antoniolli:

That the proposed amended 2024-2025 Budget, including the Long-Term Financial Forecast, the 2024-2025 Revenue Policy, the 2024-2025 Revenue Statement, and the amended Debt Policy, as detailed in Attachments 1, 2, 3 and 4 be adopted.

AFFIRMATIVE                    NEGATIVE

Councillors:                      Councillors:

Tully                                         Nil

Doyle

Antoniolli

Madden

 

The motion was put and carried.

 

 

11.         Amendments to CEO Delegations due to Legislative Updates

This is a report concerning updates to the delegation to the CEO due to recent changes to legislation.

 

Recommendation 

Moved by Councillor Andrew Antoniolli:

Seconded by Councillor Jim Madden:

A.           That the delegations to the Chief Executive Officer as detailed in Attachment 1 to the report by the Senior Governance Officer dated 21 January 2025 be repealed.

B.           That the delegations to the Chief Executive Officer as detailed in Attachment 2 to the report by the Senior Governance Officer dated 21 January 2025 be adopted.

C.           That the delegations to the Chief Executive Officer as detailed in Attachment 4 be amended as detailed in Attachment 3 to the report by the Senior Governance Officer dated 21 January 2025.

 

AFFIRMATIVE                    NEGATIVE

Councillors:                      Councillors:

Tully                                         Nil

Doyle

Antoniolli

Madden

 

The motion was put and carried.

 

 

12.         Monthly Financial Performance Report - January 2025

This is a report concerning Ipswich City Council’s (Council) financial performance for the period ending 31 January 2025, submitted in accordance with section 204 of the Local Government Regulation 2012.

 

Recommendation 

Moved by Councillor Jim Madden:

Seconded by Councillor Marnie Doyle:

That the report on Council’s financial performance for the period ending 31 January 2025, submitted in accordance with section 204 of the Local Government Regulation 2012, be considered and noted by Council

 

AFFIRMATIVE                    NEGATIVE

Councillors:                      Councillors:

Tully                                         Nil

Madsen

Antoniolli

Madden

 

The motion was put and carried.

 

 


 

 

13.         Report - Regulation Advisory Committee No. 2025(01) of 5 February 2025

This is the report of the Regulation Advisory Committee No. 2025(01) of
5 February 2025.

 

Recommendation 

Moved by Councillor Paul Tully:

Seconded by Councillor Andrew Antoniolli:

That Council adopt the recommendations of the Regulation Advisory Committee No. 2025(01) of 5 February 2025.

 

AFFIRMATIVE                    NEGATIVE

Councillors:                      Councillors:

Tully                                         Nil

Doyle

Antoniolli

Madden

 

The motion was put and carried.

 

 

NOTICES OF MOTION

 

Nil

 

MATTERS ARISING

 

Nil

 

QUESTIONS / GENERAL BUSINESS

 

Nil

 

PROCEDURAL MOTIONS AND FORMAL MATTERS

The meeting commenced at 10.24 am.

The meeting closed at 10.43 am.

 

 

 


Finance and Governance Committee

Meeting Agenda

18 March

2025

 

Doc ID No: A11279246

 

ITEM:            2

SUBJECT:      Information and Communications (ICT) Policy update

AUTHOR:      Senior Governance Officer

DATE:           5 March 2025

 

Executive Summary

 

The ICT Policy is due for review, and the relevant council officers agree that the Policy is not required for effective Council oversight of ICT service delivery.

Recommendation/s

That the Information and Communications Policy is repealed and not replaced noting the policy is operational in nature and that other governance mechanisms detailed in the Background of this report are in place providing oversight of ICT services.

RELATED PARTIES

There are no conflicts of interest to declare.

ifuture Theme

A Trusted and Leading Organisation

Purpose of Report/Background

The ICT Policy was scheduled for review by 25 July 2019. Attempts to review the Policy have not been successful. This may, in part, be due to the Objective of this document.

The Objective is to “ensure the ICT Branch enables the delivery and support of ICT services. These services align to ICC objectives and assist in the delivery of its service to the community”.  The purpose of a Council policy is to set strategic outcomes for ICT, or to define its risk limits (such as legal/regulatory compliance, ethical/public interest commitments, financial control, asset protection or investment).

However, the Objective is challenging to put into practice, as:

1.      it does not state principles or standards to govern the policy statements. Without governing principles, this document simply requires that the ICT Branch is to carry out standard operational practices. A Council policy is not required to achieve this.

2.      other documents provide for governance of the stated ICT services in a more meaningful and effective format. For example:

a.       Delivering strategic solutions and sustainable value: Corporate Plan, Annual Plan, strategies, ICT Steering Committee, ICT Roadmap, Council’s project management framework

b.      Demand/asset lifecycle management: ICT Asset Portfolio Management Administrative Directive. This document duplicates some of the policy statements but is the preferred document to deal with the subject matter (given that this is a function of ICT management). We note that procedures will need to be developed to supplement this administrative directive.

c.       Data and information controls to protect “confidentiality, integrity and access” (information security): Information Systems Security (InfoSec) Policy. The strategic outcome and impact are clear: establish and maintain an Information Security Management System, to secure and maintain confidentiality of Council’s information and information systems. The Information Security Administrative Directive is approved, and an accompanying procedure is being finalised. Other supporting documents have been drafted as well.

[Note: some policy statements have been combined as they are part of the same higher-level process]

Legal IMPLICATIONS

 

This report and its recommendations are consistent with the following legislative provisions:

Not Applicable

policy implications

 

Approving this recommendation will improve Council’s policy position by eliminating extraneous policy.

RISK MANAGEMENT IMPLICATIONS

The intent of repealing the policy is to remove confusion over governance controls for ICT. Appropriate and effective controls are already in place. Removing it will not leave a vacuum in organisational objectives, place Council in non-compliance with external requirements, nor weaken oversight.

Financial/RESOURCE IMPLICATIONS

Not applicable.

COMMUNITY and OTHER CONSULTATION

 

Community consultation is not required as repeal of the policy will not have a community impact.  The subject matter of this report has been presented at the Councillor Briefing and Workshop held on 11 February 2025, and it was agreed that it should proceed to presentation at this Committee.

Prior to this, internal consultation occurred between the Chief Information Officer, the Corporate Governance Manager, and the Governance Services Team, prior to seeking ELT endorsement. None of these Council officers object to the repeal of the ICT Policy.

Conclusion

Effective governance will continue to be maintained providing clear principles and accountabilities through fit for purpose documentation. The recommendation within this report forms part of  the continuous improvement of Council’s governance framework.

HUMAN RIGHTS IMPLICATIONS

 

HUMAN RIGHTS IMPACTS

OTHER DECISION

 

 

(a)  What is the Act/Decision being made?

It is recommended that Council repeal the Information and Communications (ICT) Policy.

(b) What human rights are affected?

No human rights are affected by this decision.

 

(c)  How are the human rights limited?

Not applicable.

 

(d) Is there a good reason for limiting the relevant rights? Is the limitation fair and reasonable?

Not applicable.

(e)  Conclusion

The decision is consistent with human rights.

 

Attachments and Confidential Background Papers

 

1.

Information and Communications Technology (ICT) Policy

 

Melissa Friske

Senior Governance Officer

I concur with the recommendations contained in this report.

Angela Jackson

Chief Information Officer

I concur with the recommendations contained in this report.

Matt Smith

General Manager (Corporate Services)

 

“Together, we proudly enhance the quality of life for our community”

 


Finance and Governance Committee

Meeting Agenda

18 March

2025

Item 2 / Attachment 1.




Finance and Governance Committee

Meeting Agenda

18 March

2025

 

Doc ID No: A11203106

 

ITEM:            3

SUBJECT:      Right to Information Legislative Update

AUTHOR:      Team Leader (Governance Services)

DATE:           11 February 2025

Executive Summary

This is a report concerning updates to the Right to Information Act 2009 under the Information Privacy and Other Legislation Amendment Act 2023 (IPOLA). Effective from
1 July 2025, these amendments will enhance the application process for applicants and modify how the Council processes access requests for information.

Recommendation/s

That the Right to Information Policy (as set out in Attachment 1) be repealed.

RELATED PARTIES

There were no declared conflicts of interest.

ifuture Theme

A Trusted and Leading Organisation

Purpose of Report/Background

The Information Privacy and Other Legislation Amendment Act 2023 (IPOLA) which amends the Information Privacy Act 2009 (IP Act) and the Right to Information Act 2009 (RTI Act), will commence on 1 July 2025, improving the application process for applicants.

The amendments will result in changes to the way Council processes applications for access to Council information as outlined below:

·    Introducing a single process for accessing Council information under the RTI Act, regardless of whether the application is for personal information or other information.

·    applications will no longer need to be in the approved form.

Council’s webpage will be updated to explain the process for applying for Council information under the RTI Act from 1 July 2025.

The RTI Act does not mandate agencies to have a Right to Information Policy.  The existing Right to Information Policy does not provide any additional information not already covered by legislative requirements. The Policy simply outlines Council’s statutory obligations under the RTI and IP Acts relating to the release of Council information.

Therefore, it is recommended that this Policy be repealed.  It is important to note that repealing this Policy does not diminish an individual’s rights to access information under the RTI Act 2009.

Legal IMPLICATIONS

 

This report and its recommendations are consistent with the following legislative provisions:

Right to Information Act 2009 and the Information Privacy Act 2009

Human Rights Act 2019

policy implications

 

There are no policy implications as the RTI Act provides the statutory framework for the release of Council information.

RISK MANAGEMENT IMPLICATIONS

Not applicable

Financial/RESOURCE IMPLICATIONS

Not applicable

COMMUNITY and OTHER CONSULTATION

Consultation has been undertaken within the Legal and Governance Branch including the Team Leader (Complaints Management and Information Privacy), Corporate Governance Manager and Governance Services Team.

Conclusion

The Right to Information Policy should be repealed as it not mandated under the RTI Act and simply outlines Council’s statutory obligations regarding the release of Council information.

HUMAN RIGHTS IMPLICATIONS

.

·                                                                                                                                    

HUMAN RIGHTS IMPACTS

OTHER DECISION

 

 

(a)  What is the Act/Decision being made?

Repealing the Right to Information Policy

 

(b) What human rights are affected?

No human rights are affected by this decision. The entitlement to access Council information comes from the RTI Act, not the Policy.

(c)  How are the human rights limited?

NA

 

(d) Is there a good reason for limiting the relevant rights? Is the limitation fair and reasonable?

NA

 

(e)  Conclusion

The decision is consistent with human rights.

 

Attachments and Confidential Background Papers

 

1.

Right to Information Policy

 

Michelle Pearl

Team Leader (Governance Services)

I concur with the recommendations contained in this report.

Shasha Ingbritsen

Corporate Governance Manager

I concur with the recommendations contained in this report.

Allison Ferres-MacDonald

Acting Manager, Legal and Governance (General Counsel)

I concur with the recommendations contained in this report.

Matt Smith

General Manager (Corporate Services)

 

“Together, we proudly enhance the quality of life for our community”

 


Finance and Governance Committee

Meeting Agenda

18 March

2025

Item 3 / Attachment 1.






Finance and Governance Committee

Meeting Agenda

18 March

2025

 

Doc ID No: A11241463

 

ITEM:            4

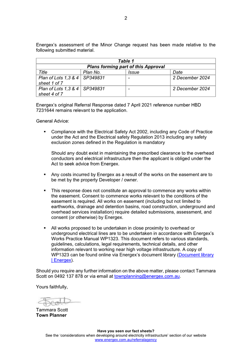
SUBJECT:      Establish Schedule of Trust for Road Purpose on proposed Lot 3 on SP349831 (currently Lot 1 on SP307972) in the Nicholas Street Precinct

AUTHOR:      Property Services Manager

DATE:           20 February 2025

Executive Summary

This is a report concerning the establishment of a schedule of trust for road purpose over proposed Lot 3 SP349831 within the Nicholas Street Precinct.  Ipswich City Council is currently the freehold owner of the land, which is to be reconfigured, and will also be the trustee.  The schedule of trust for road purpose is to be established to satisfy a condition of development approval number 5201/2019/RAL and enable the registration of the subdivision plan to create the approved lots. 

Although Ipswich City Council is currently the freehold owner of the land which is being reconfigured, establishing a schedule of trust for road purpose, for which Ipswich City Council is the trustee, is considered to be a change of ownership for the property (going from being for Ipswich City Council’s benefit absolutely to Ipswich City Council as trustee for a trust which limits how the land can be used).  Accordingly, this will constitute disposal of a non-current asset, for which (pursuant to the requirements of the Local Government Regulation), a resolution of Council is required.

RECOMMENDATION

 

A.           That Council resolves that the exception at section 236(1)(c)(i) of the Regulation applies to the disposal of an interest in land at part of 11 Nicholas Street, IPSWICH more particularly described as proposed Lot 3 on SP349831 (currently Lot 1 on SP307972) (Council Land) (Council file 6344) for road purpose, because the land will be non-rateable after disposal.

B.           That pursuant to Section 257(1)(b) of the Local Government Act 2009, Council resolve to delegate to the Chief Executive Officer the power to take “contractual action” pursuant to section 238 of the Regulation, in order to implement Council’s decision.

RELATED PARTIES

Nil.

ifuture Theme

A Trusted and Leading Organisation

Purpose of Report/Background

On 8 July 2021, Council issued development approval 5201/2021/RAL for Reconfiguring a Lot (Two (2) Lots into Seven (7) Lots) relating to several freehold owned properties within the Nicholas Street Precinct.  On 10 February 2025, Council issued a minor change to the development approval.  It is intended that this approved development be carried out and registered with Titles Queensland.  In doing so, Council is required to comply with Condition 5 – Requirements Before the Development May Start of that approval, which is extracted below:

The applicant must submit to the assessment manager a subdivision plan generally in accordance with the approved plans outlined in Part 3 of this development permit.  The subdivision plan must include:

(a)     Lot 3 as either a reserve for road purposes or a freehold lot with a Schedule of Trust for Road Purposes.  If the latter, the Schedule of Trust for Road Purposes must be registered on title and must permit public pedestrian and vehicle access in perpetuity.

(b)     Lot 5 must include a public thoroughfare easement to permit public pedestrian movement through the lot.  The easement must run alongside the building façade, connecting the pedestrian footpath along the southern side of Union Place to the east of the lot to the Nicholas Street footpath/proposed lot 3 to the west of the lot and generally in accordance with Emt MB as shown on the plan titled ‘Plan of Lots 1, 2, 5, 100 & 101 and Emt MB in Lot 5 Cancelling Lot 1 in SP307972 and Lot 2 on RP209886’ Sheet 1 of 4 and Sheet 3 of 4, dated 2 December 2024 and prepared by Veris Australia Pty Ltd.

Proposed Lot 3 is a volumetric lot which encapsulates the part of the Nicholas Street/Union Place roadway which traverses 11 Nicholas Street, Ipswich (Lot 1 on SP307972) (refer Attachment 1 for a copy of the subdivision plans which are intended to be registered).  The property at 11 Nicholas Street, Ipswich contains Tulmur Place, the Ipswich Central Library and the public car park below (refer Attachment 2 for outline of property).  In order to satisfy the development approval condition, it is proposed to create proposed Lot 3 as a freehold lot and establish a schedule of trust for road purpose for which Council would be the trustee.  This will provide Council with a greater ability to refuse the installation of services through the lot by utility providers than if the lot were to be dedicated as road reserve.  This remains important in this location owing to the non-standard pavement treatments and other high-quality improvements in this location and Council’s desire to retain visual continuity throughout the precinct with as little disturbance as possible.

Legal IMPLICATIONS

 

This report and its recommendations are consistent with the following legislative provisions:

Local Government Act 2009

Local Government Regulation 2012

Planning Act 2016

Land Title Act 1994

policy implications

The matter of the report is consistent with Council’s approved Property Acquisition and Disposal Policy.

RISK MANAGEMENT IMPLICATIONS

Nil identified.

Financial/RESOURCE IMPLICATIONS

Costs associated with transaction of transfer, including registration and assessment of transfer duty (also known as stamp duty).   The transfer duty is to be assessed on the market value of the land being transferred.  An independent valuation is being obtained to determine this requirement.

COMMUNITY and OTHER CONSULTATION

No community consultation has been undertaken with respect to the proposed action to establish the schedule of trust for road purpose.  However, the development approval and its conditions are publicly accessible on Council’s development application platform developmenti.ipswich.qld.gov.au and have been since the development was approved on
8 July 2021. 

Council’s Legal Services, Property Services and Nicholas Street Precinct teams have worked in collaboration with respect to the report.  Council’s Planning and Regulatory Services Department have performed the function of regulatory authority.  To this end, the Development Planning Branch established the conditions of the development approval and will endorse the registration of the subdivision plan.

Conclusion

It is recommended that Council progress with the registration of the lots associated with development approval 5201/2021/RAL is necessary in order to ensure the buildings and infrastructure that has been constructed as part of the Nicholas Street Precinct / Ipswich Central redevelopment project are contained within individual lots. 

HUMAN RIGHTS IMPLICATIONS

 

HUMAN RIGHTS IMPACTS

OTHER DECISION

 

 

(a)  What is the Act/Decision being made?

To create proposed Lot 3 as a freehold lot and establish a schedule of trust for road purpose for which Council will be the trustee

(b) What human rights are affected?

No human rights are affected by this decision. The decision to support the proposal is provided under the provisions of the Local Government Act 2009 and satisfies a condition of the development approval to enable registration of the subdivision plan to create the approved lots.

(c)  How are the human rights limited?

Not applicable

 

(d) Is there a good reason for limiting the relevant rights? Is the limitation fair and reasonable?

Not applicable

 

(e)  Conclusion

The decision is consistent with human rights.

 

Attachments and Confidential Background Papers

 

2.

Current Property Plan

3.

Development approval 5201/2021/RAL

 

 

 

CONFIDENTIAL

1.

Current Title Search  

3.

Proposed SP349830  

4.

Proposed SP349831  

 

Alicia Rieck

Property Services Manager

I concur with the recommendations contained in this report.

James Hepburn

Precinct Director

I concur with the recommendations contained in this report.

Allison Ferres-MacDonald

Acting Manager, Legal and Governance (General Counsel)

I concur with the recommendations contained in this report.

Matt Smith

General Manager (Corporate Services)

 

“Together, we proudly enhance the quality of life for our community”

 


Finance and Governance Committee

Meeting Agenda

18 March

2025

Item 4 / Attachment 2.



Finance and Governance Committee

Meeting Agenda

18 March

2025

Item 4 / Attachment 3.























Finance and Governance Committee

Meeting Agenda

18 March

2025

 

Doc ID No: A10356957

 

ITEM:            5

SUBJECT:      Disposal of Easement through Flinders-Goolman Conservation Estate for Access to Adjoining Land

AUTHOR:      Senior Property Officer (Acquisitions and Disposals)

DATE:           21 January 2025

Executive Summary

This is a report concerning the disposal of an Easement interest traversing the Flinders-Goolman Conservation Estate. The Easement will provide access to the adjoining land-locked property being utilised as an environmental offset.

RECOMMENDATION

A.           That pursuant to section 236(2) of the Local Government Regulation 2012 (Regulation), Council resolve that the exception at section 236(1)(c)(iv) of the Regulation applies to the disposal of an interest in land (Easement) at
155-331 Spowers Road, Goolman, more particularly described as part of Lot 160 on Plan CH312094,
because the disposal will be to an adjoining landowner.

B.           That Council grant an Easement, for the purpose of Access (Council file reference 6180) to the Walker Corporation Pty Ltd (Grantee) for an approximate sum of $5,000 excluding GST payable to Council as consideration for the Easement.

C.           That pursuant to Section 257(1)(b) of the Local Government Act 2009, Council resolve to delegate to the Chief Executive Officer the power to take “contractual action” pursuant to section 238 of the Regulation, in order to implement Council’s decision.

RELATED PARTIES

·    Walker Corporation Pty Ltd (Grantee)

·    Environmental Offset Solutions Pty Ltd (Offset Broker)

There was no declaration of conflicts of interest.

ifuture Theme

Vibrant and Growing

Purpose of Report/Background

Environmental Offset Solutions Pty Ltd (Earthtrade), approached Ipswich City Council (Council) and requested the consideration of an Easement traversing the Flinders-Goolman Conservation Estate for the purpose of providing access to 255-321 McGuires Hut Road from Spowers Road.

The Easement will encumber existing tracks and trails though the Estate, meaning minimal disruption to the surrounding area. Terms of the Easement agreement limit access to the Grantee for the purpose of planting and maintaining vegetation, carrying out activities associated with planting and maintaining vegetation and management of the conservation values of the land, and for no other purpose.

Legal IMPLICATIONS

 

This report and its recommendations are consistent with the following legislative provisions:

Local Government Act 2009

Land Title Act 1994

Property Law Act 1974

policy implications

This report and the recommendations contained within are consistent with the Property Acquisition and Disposal Policy.

RISK MANAGEMENT IMPLICATIONS

Declining to grant the Easement - it should be noted that there appears to be a dedicated road reserve that is adjacent to the lot that is proposed to be benefited by the easement, but the road is not presently constructed (and an unsealed road stops midway through the adjacent property, with the road reserve becoming heavily vegetated shortly after). As the local government with control of the roads in the area, the grantee may look to Council regarding whether the road can be constructed within the road reserve to enable access to the land.

Financial/RESOURCE IMPLICATIONS

All associated works and expenses for the creation of the Easement, including surveying services for a new Plan of Survey detailing the Easement interest, stamp duty and the registration of documentation with Titles Queensland, will be borne by the Grantee.

The Grantee will make payment of the settlement sum of $5,000 ex GST, as compensation to Council for the interest in the land.

COMMUNITY and OTHER CONSULTATION

In February 2024, Council’s Natural Environment Team were approached by EarthTrade (on behalf of the Grantee), requesting access through the Flinders-Goolman Conservation Estate to the adjoining landlocked property, which was at the time, the subject of an application seeking Environment Protection and Biodiversity Conservation (EPBC)  approval as an environmental offset.

Through internal consultation with Legal Services and Property Services, the Natural Environment team assessed the request, looking into the provision of access that would not have any adverse effects on the Estate and under an instrument that would provide terms agreeable to both parties.

The proposed location of the Easement is supported by internal and external stakeholders. The finalised cadastral survey will be prepared by the Grantee and approved by Council prior to registration.

Conclusion

It is recommended that Council proceed with the creation of the Easement detailed in Attachment 1, traversing the Flinders-Goolman Conservation Estate to facilitate access to adjoining land for the purpose of managing and maintaining an environment offset.

Council will work with the Grantee to ensure all documentation for Titles Queensland meets both Council requirements and requirements under the Property Law Act 1974 and the Land Title Act 1994.

HUMAN RIGHTS IMPLICATIONS

 

HUMAN RIGHTS IMPACTS

OTHER DECISION

 

 

(a)  What is the Act/Decision being made?

Disposal of an Easement interest through the Flinders-Goolman conservation estate for access to an adjoining landlocked parcel of land.

(b) What human rights are affected?

No human rights are affected by this decision. This is because neither parties of the proposed Easement are individuals and only individuals have human rights.

 

End of assessment.

(c)  How are the human rights limited?

Not applicable.

(d) Is there a good reason for limiting the relevant rights? Is the limitation fair and reasonable?

Not applicable.

(e)  Conclusion

The decision is consistent with human rights.

 


 

Attachments and Confidential Background Papers

 

 

CONFIDENTIAL

1.

Proposed Access Easement Area  

2.

Property Title Search - Flinders-Goolman Estate  

3.

Draft Easement Terms  

4.

Letter of Offer - Access Easement  

 

Bianca Gaudry

Senior Property Officer (Acquisitions and Disposals)

I concur with the recommendations contained in this report.

Phil A. Smith

Manager, Natural Environment

I concur with the recommendations contained in this report.

Alicia Rieck

Property Services Manager

I concur with the recommendations contained in this report.

Allison Ferres-MacDonald

Acting Manager, Legal and Governance (General Counsel)

I concur with the recommendations contained in this report.

Matt Smith

General Manager (Corporate Services)

I concur with the recommendations contained in this report.

Kaye Cavanagh

General Manager (Environment and Sustainability)

 

“Together, we proudly enhance the quality of life for our community”

 


Finance and Governance Committee

Meeting Agenda

18 March

2025

 

Doc ID No: A11263812

 

ITEM:            6

SUBJECT:      Procurement - Contract 5601 - Garden Organic Material Processing

AUTHOR:      Category Specialist

DATE:           27 February 2025

Executive Summary

This is a report concerning the establishment of a contractual arrangement for the provision of Garden Organic Material Processing.

RECOMMENDATION

A.           That pursuant to Section 228 of the Local Government Regulation 2012 (Regulation), Council award Tender No. VP436292 for the provision of Garden Organic Material Processing to Remondis Australia Pty Ltd (Supplier).

B.           That Council enter into a contractual arrangement with the Supplier at an approximate purchase price of $67,000,000 excluding GST over the entire term, being a term of three (3) years, with options for extensions by mutual agreement, of up to seven (7) years.

C.           That pursuant to Section 257(1)(b) of the Local Government Act 2009, Council resolve to delegate to the Chief Executive Officer the power to take “contractual action” pursuant to section 238 of the Regulation, in order to implement Council’s decision.

RELATED PARTIES

REMONDIS Australia Pty Ltd (ACN: 002 429 781) and Ipswich City Council

There were no conflict of interest declarations.

ifuture Theme

Natural and Sustainable

Purpose of Report/Background

The purpose of this report is to seek Council approval of the recommendation to enter into a contract for the provision of garden organic material processing.  The Procurement Branch released an open tender to the market with the intention to engage a suitably qualified and experienced organisation / supplier to provide the services.  The proposed contract will replace the existing organic waste management services contract with Nugrow Ipswich.

In 2023-2024, there was an increased risk associated with FOGO processing due to external factors such as PFAS limits and legislative changes by the State Government, which classified food organics as ‘highly odorous’. As a result, the industry became less willing to accept FOGO material as composting feedstock at affordable pricing for councils in Queensland. Consequently, the Council has decided to transition from the previous FOGO service to a Garden Organics (GO) service for organic waste bin collections.

The definition of organic waste material now includes Garden Organics (GO), which is collected via kerbside green-lid bin collection services, parks and gardens, as well as material self-hauled by both residents and commercial customers at the Council’s Recycling and Refuse Centres (RRC). Currently, 13-20% of the material in kerbside general waste bins is GO, which has the potential to be diverted from landfill.

Based on industry engagement and work through the Council of Mayors South-East Queensland a common specification was developed that included contamination pricing thresholds (0-2.5%, 2.5%-5% and above 5%) to help industry better price risk.

Legal IMPLICATIONS

 

This report and its recommendations are consistent with the following legislative provisions:

Local Government Act 2009

Local Government Regulation 2012

policy implications

 

The matter of this report is consistent with the Procurement Policy.  No other policies have been identified that would be impacted.

RISK MANAGEMENT IMPLICATIONS

Risk management implications were considered from a legal, insurance, and commercial risk perspective. These risks, overall, were considered to be of a low nature. The most significant risk in not adopting the recommendations is the risk to business continuity of service delivery.  If service delivery is impacted, this has the potential to contribute to the potential for health and regulatory implications if there is an inability of Council to fulfill, in full, its legal requirements to collect and manage waste.

Financial/RESOURCE IMPLICATIONS

The financial implications are set out above within the recommendations and represents estimated total spend over the entire contract term inclusive of all extensions. The proposed estimated future spend is based on historical annualised spend and tonnage data, submitted pricing and predictive CPI increases applied over the contract lifecycle. Operational budget has been confirmed.

COMMUNITY and OTHER CONSULTATION

Service delivery is primarily focused on garden organic material processing at a bulk level and as such no community consultation was undertaken on this occasion.  Consultation was undertaken with a number of Council Officers / key internal stakeholders at various stages throughout the procurement including the:

·    General Manager, Environment and Sustainability Department.

·    Manager, Procurement, Corporate Services Department.

·    Manager, Resource Recovery, Environment and Sustainability Department.

·    Resource Recovery Operations Manager, Environment and Sustainability Department.

·    Senior Strategy Officer, Environment and Sustainability Department.

·    Goods and Services Category Manager, Corporate Services Department.

Conclusion

It is recommended Council enter into a contractual arrangement with Remondis Australia Pty Ltd, pursuant to Section 228 of the Local Government Regulation 2012, for the provision of garden organic material processing. The term of the proposed contract will be for an initial period of three (3) years, with options for extensions, by mutual agreement, of up to seven (7) years. Financial terms, or approximate purchase price, inclusive of all extensions if exercised, and risks associated with the recommendations, are set out above.

HUMAN RIGHTS IMPLICATIONS

 

HUMAN RIGHTS IMPACTS

OTHER DECISION

 

 

(a)  What is the Act/Decision being made?

Recommendation to enter into a contract with Remondis Australia Pty Ltd.

(b) What human rights are affected?

Not applicable

(c)  How are the human rights limited?

Not applicable

 

 

(d) Is there a good reason for limiting the relevant rights? Is the limitation fair and reasonable?

Not applicable

(e)  Conclusion

The decision is consistent with human rights.

 

Attachments and Confidential Background Papers

 

 

CONFIDENTIAL

1.

5601 - Recommendation to Award - Garden Organics Material Processing  

 


 

Cory Cavanagh

Category Specialist

I concur with the recommendations contained in this report.

Tim Steinhardt

Goods and Services Category Manager

I concur with the recommendations contained in this report.

David McAlister

Manager, Resource Recovery

I concur with the recommendations contained in this report.

Tanya Houwen

Manager, Procurement

I concur with the recommendations contained in this report.

Matt Smith

General Manager (Corporate Services)

 

“Together, we proudly enhance the quality of life for our community”

 


Finance and Governance Committee

Meeting Agenda

18 March

2025

 

Doc ID No: A11215226

 

ITEM:            7

SUBJECT:      PROCUREMENT: Preferred Supplier ARRANGEMENT for Provision of Electrical Trade Services

AUTHOR:      Category Specialist

DATE:           13 February 2025

 

Executive Summary

This is a report concerning the establishment of preferred supplier arrangements with one (1) Primary and two (2) Secondary companies for the provision of Electrical Trade Services to Ipswich City Council.

RECOMMENDATION

A.           That pursuant to Section 233 of the Local Government Regulation 2012 (Regulation), Council establish Preferred Supplier Arrangements for the provision of Electrical Trade Services with the suppliers detailed in Attachment VP4296636 RTA - Electrical Trade Services of this report.

B.           That pursuant to Section 233(8) of the Regulation, Council resolve that it is satisfied that a term of longer than two (2) years will result in better value for Council.

C.           That under the Preferred Supplier Arrangement, Council’s approximate spend may exceed $8M excluding GST subject to Council’s annual adopted budget over the entire term, being an initial term of three (3) years, with options for extension at the discretion of Council (as purchaser), of an additional two (2) X one (1) year terms, total term being five (5) years.

D.           That Council may enter into a contractual arrangement with any of the aforementioned suppliers.

E.           For those individual contractual arrangements that exceed $2,000,000 excluding GST, pursuant to Section 257(1)(b) of the Local Government Act 2009, Council resolve to delegate to the Chief Executive Officer the power to take “contractual action” pursuant to section 238 of the Regulation, in order to implement Council’s decision in accordance with section 13(3) of the Local Government Act 2009.

 

RELATED PARTIES

Ipswich City Council and suppliers detailed in Attachment VP4296636 RTA - Electrical Trade Services of this report

There were no declaration of conflicts of interest

ifuture Theme

Vibrant and Growing

Purpose of Report/Background

Council has an ongoing need for the provision of Electrical Trade Services as an essential business requirement that supports the whole of Council for the safe management, operations and maintenance of electrical assets related to Council infrastructure. The Electrical Trade Services provide Council with a 24/7 emergency response availability. The new preferred supplier arrangement will provide Council the ability to manage the ongoing growth of Council’s electrical assets and will support proactive/reactive maintenance activities and other electrical works.

Legal IMPLICATIONS

This report and its recommendations are consistent with the following legislative provisions:

Local Government Act 2009

Local Government Regulation 2012

policy implications

This report is consistent with Council’s Procurement Policy, Part 14 of Council adopted budget 2023-2024.

RISK MANAGEMENT IMPLICATIONS

Risks associated with the proposed preferred supplier arrangements will be managed under Council’s Contract Management Framework.

Financial/RESOURCE IMPLICATIONS

Expenditure under the preferred supplier arrangements is subject to Council’s adopted budget per financial year. The estimated amount of $8M stipulated within the recommendation is to cover operational expenditure and minor capital works over the term.

COMMUNITY and OTHER CONSULTATION

Consultation was undertaken with relevant internal stakeholders from the following Departments/Branch;

Works and Field Services Branch / Asset and Infrastructure Services Department;

Conclusion

The procurement activity concluded that the provision of Electrical Trade Services to Council be undertaken by the preferred suppliers detailed within the recommendation, providing Council the best value for money.

HUMAN RIGHTS IMPLICATIONS

 

HUMAN RIGHTS IMPACTS

OTHER DECISION

 

 

(a)  What is the Act/Decision being made?

Act/Decision being made is detailed in the recommendations within this report

(b) What human rights are affected?

The parties involved are companies/corporations and the subject matter of the proposed engagement, act or decision being assessed will not affect human rights and further consideration is unnecessary

(c)  How are the human rights limited?

Not applicable

(d) Is there a good reason for limiting the relevant rights? Is the limitation fair and reasonable?

Not applicable

(e)  Conclusion

The decision is consistent with human rights

 

Attachments and Confidential Background Papers

 

 

CONFIDENTIAL

1.

VP4296636 RTA - Electrical Trade Services  

 

David Niebling

Category Specialist

I concur with the recommendations contained in this report.

Wayne Bichel

Building Construction and Maintenance Category Manager

I concur with the recommendations contained in this report.

Tanya Houwen

Manager, Procurement


 

I concur with the recommendations contained in this report.

Neale Emmett

Principal Officer (Facilities and Asset Maintenance)

I concur with the recommendations contained in this report.

Seren McKenzie

General Manager (Asset and Infrastructure Services)

 

“Together, we proudly enhance the quality of life for our community”

 


Finance and Governance Committee

Meeting Agenda

18 March

2025

 

Doc ID No: A11256699

 

ITEM:            8

SUBJECT:      Procurement - Whole of Government Banking Services (Corporate Purchase and Travel Cards)

AUTHOR:      Goods and Services Category Manager

DATE:           26 February 2025

Executive Summary

This is a report concerning Whole of Government (WoG) banking services.  Queensland Government, represented by Queensland Treasury, has recently completed an extensive tender process for banking services. The new Master Agreement (contract) for banking services includes allowance for other agencies, such as Ipswich City Council (Council), to enter into Agency Service Agreement/s (ASA) with the appointed service providers to procure banking services under the same terms.

Council’s banking services to date have been procured through such an arrangement to take advantage of the favourable terms negotiated by the Queensland Treasury. Council now has the option to sign a Service Order, and an ‘Accession Agreement’ to become a party to the agreement for Corporate Purchase Card and Travel Card services.

RECOMMENDATION

A.           That pursuant to Section 235(f) of the Local Government Regulation 2012 (Regulation), Council utilises government agency exception for the provision of Queensland Whole of Government Banking Services with Citibank, N.A. (ABN:34 072 814 058) (Supplier) who is a party to the government agency contractual arrangement.

B.           That Council enter into a contractual arrangement with Citibank, N.A. (ABN:34 072 814 058), for a $0 (zero) value, over the entire term, being a term of five (5) years with two separate extension options both being three (3) years, at the discretion of The State of Queensland acting through Queensland Treasury

C.           That Council may enter into ancillary contractual arrangements with the supplier, as allowed by the government agency contractual arrangement.

D.           That pursuant to Section 257(1)(b) of the Local Government Act 2009, Council resolve to delegate to the Chief Executive Officer the power to take “contractual action” pursuant to section 238 of the Regulation, in order to implement Council’s decision.

 

RELATED PARTIES

Citibank, N.A. (ABN: 34 072 814 058) and Ipswich City Council

No conflicts of interest have been declared in relation to this matter.

ifuture Theme

A Trusted and Leading Organisation

Purpose of Report/Background

The Queensland Treasury position on preferred suppliers under the Financial Accountability Act 2009 are:

•       Commonwealth Bank of Australia for Core Banking services

•       Australia Post for Over-the-Counter services

•       Citibank for Corporate Purchase Cards and Central Travel Accounts.

It was previously resolved by Council at the 24 October 2024 ordinary Council meeting to become a party under the Queensland Government agreement to engage Commonwealth Bank of Australia (CBA) for core banking services, and Australia Post for over-the-counter payment services. 

The Finance Branch has now completed comparative analysis and consultation on the WoG tender for Corporate Purchase Cards and Travel Cards. 

Queensland Government Banking Services (QGBS) conducted a comprehensive market engagement and evaluation process where Citibank were identified as the successful Corporate Card provider for the Queensland Government, presenting the strongest offering against a range of market providers, including Council’s incumbent provider, CBA.

Citibank’s offering was evaluated and selected based on:

•        the highest level of compliance with the Queensland Government’s Corporate Card functionality requirements and specifications (noting the previous requirements were last reviewed and agreed in 2014),

•        Citibank’s ability to integrate with the range of Expense Management Systems across Queensland Government,

•        a MasterCard scheme offering, to align with enhanced data and file format requirements for card management and reconciliation for both Corporate Card and CTAs,

•        synergies between Citibank’s Corporate Card and CTA offerings,

•        a commercially compelling and competitive offering, providing the best value for money to the Queensland Government, including pricing, incentives and rebates,

•        frameworks and support for card provider transition across government,

•        positive references from other state governments, and

•        compliance with Queensland Government policy and legislation on key contractual terms.

 

Corporate Card rebate for eligible agencies

Queensland Treasury has confirmed the terms of the new QGBS contract with Citibank provides for the payment of a rebate to Queensland Treasury (on behalf of the Queensland Government) which may be passed on, in part, to eligible agencies. Council has received similar rebates from its current corporate credit card provider, over the past five years. 

Citibank has requested Queensland Treasury not to disclose the specific terms of the rebate as this information is commercial in confidence.

Queensland Treasury provided the following observations regarding the Citibank rebate offering:

•        As part of the procurement process for the new QGBS contracts, Treasury’s independent financial advisors determined that Citibank’s rebate structure provided the most favourable benefit to the Queensland Government.

•        The rebate payable to Queensland Treasury will be based on the total annual eligible spend from across the WOG Corporate Card and Central Travel Account programs using a tiered structure.

•        The rebate is calculable and payable to Queensland Treasury on an annual basis. Treasury will then facilitate a distribution payment to eligible agencies.

•        The mechanics for calculating and distributing rebate payments to eligible agencies are currently being considered by the GBU but are not expected to substantially differ from the previous arrangements that were in place with the former provider. Rebate distributions to eligible agencies are expected to continue to be calculated on an agency’s proportionate eligible spend relative to the total WOG program eligible spend.

Operational Impacts

Agencies who are existing customers of the WoG program and wish to remain with CBA (or switch to an alternative financial provider) will need to engage with these providers individually and negotiate their own banking arrangements. These agencies will not be eligible to receive any future rebate distribution from Queensland Treasury under the new QGBS arrangements.

Queensland Treasury has strongly recommended that all existing customers of the previous CBA WoG corporate card program to transition to Citibank’s Corporate Card as Citibank is the corporate card provider approved by the Queensland Government under the Financial Accountability Act 2009.

The target date for all agencies to transition to the new Corporate Card arrangements is June 2025.

Council are current users of the previous WoG corporate card program with CBA and if we decide to opt out of using the Citibank Corporate Card, are responsible for establishing alternate contractual arrangements and must ensure all aspects of the proposed contract with an alternate provider (including CBA) comply with current Queensland Government policy and legislation, including on:

•        Privacy (protection against loss and misuse).

•        Product terms and conditions and consistency with the Queensland Government position.

•        Transfer of Agency data and personal information outside Australia.

•        Offshoring of any products, services or information.

•        Liability and indemnity for account use.

•        Compliance with laws and banking industry codes.

•        Credit ratings, approvals and changes.

•        Insurance – public and products liability cover.

•        Material subcontractors.

•        Data governance and management.

•        Cybersecurity and fraud management.

•        PCI-DSS compliance.

•        Integration with expense management systems.

•        Performance management, reporting and innovation.

The above issues have all been resolved by Queensland Treasury through complex negotiations with Citibank as part of the QGBS procurement. Queensland Treasury have communicated that agencies must ensure that any alternate contract aligns with the Queensland Government’s position on key matters, including but not limited to, those listed above.

Further operational considerations and/or impacts include:

•        Council currently has 205 CBA Corporate Purchase Cards that would need to be transitioned to Citibank.

•        Queensland Treasury and Citibank hosted interactive webinars on 3 December 2024 and 13 February 2025 to provide an overview of the Citibank Corporate Purchase Card Platform.

•        Council officers also completed a system compatibility walkthrough with Citibank on 14 February 2025 - feedback from Council officers in attendance is that the Citibank offering outperforms the current CBA portal, notifications, fraud detection, and administrative controls.

•        Citibank have a dedicated transition team that will assist with issuing new cards, pins, administration platform, and card transaction files for use with Fusion.

•        Council will need to provide the Government Banking Unit details for Primary Admin, Secondary Admin, Reporting Admin and Agency Accountable Officer.

•        The Citibank card transactions can be integrated with Council systems (Fusion) using existing resources.

•        CBA would need to be engaged to cancel issued CBA cards once Citibank cards and systems are active.

Legal IMPLICATIONS

 

This report and its recommendations are consistent with the following legislative provisions:

Local Government Act 2009

Local Government Regulation 2012

policy implications

 

Nil

RISK MANAGEMENT IMPLICATIONS

•        The arrangements present low risk to Council by entering into the arrangement.

•        Citibank have a well-supported framework to assist the transition of purchase and travel cards from CBA to Citibank.

•        Information and Communications Technology Branch have confirmed information from the Citibank systems can be integrated with Council systems (Fusion) using existing resources.

Financial/RESOURCE IMPLICATIONS

•        The Term of the Queensland Government Agreement is for an initial term of five (5) years with two separate extension options both being three (3) years. Effectively, the contract could run for eleven (11) years in total.

•        The potential rebate that Council will receive is relatively nominal in the context of Council’s overall revenue but is estimated by the Finance Branch to range between $100,000 and $200,000 over the term of the contract (allowing for transactional volume increase).

•        Council is not bound for any minimum term or any length of time whatsoever and may terminate for convenience at any point.

•        Use of Corporate purchase cards and travel cards is cost neutral for Council. The card providers receive revenue through fees charged to vendors when Council purchases goods and services with purchase and travel cards.

•        The approximate total spend through the purchase and travel card facilities is estimated to be $40 million including GST over the entire 11-year term. Importantly, this represents an estimated cumulative value of purchases on the card facilities from numerous individual suppliers, not direct purchases from Citibank. The corporate credit cards are payment mechanism.

•        The end date of the initial term for the Citibank contract is 28 April 2029

COMMUNITY and OTHER CONSULTATION

Consultation was undertaken across key internal stakeholders from Corporate Services Department including, Legal, Treasury, Financial Accounting, Chief Financial Officer, ICT and General Manager Corporate Services.

Conclusion

It is recommended Council authorises the CEO to enter into an Agency Service Agreement with Citibank, pursuant to Section 235(f) of the Local Government Regulation 2012, for Corporate Purchase Cards and Central Travel Accounts.

HUMAN RIGHTS IMPLICATIONS

 

HUMAN RIGHTS IMPACTS

OTHER DECISION

 

 

(a)  What is the Act/Decision being made?

Recommendation to enter into an Agency Service Agreement with Citibank, N.A.

 

(b) What human rights are affected?

Not applicable

 

(c)  How are the human rights limited?

Not applicable

 

(d) Is there a good reason for limiting the relevant rights? Is the limitation fair and reasonable?

Not applicable

 

(e)  Conclusion

The decision is consistent with human rights.

 

 

Tim Steinhardt

Goods and Services Category Manager

I concur with the recommendations contained in this report.

Paul Mollenhauer

Treasury Accounting Manager

I concur with the recommendations contained in this report.

Tanya Houwen

Manager, Procurement

I concur with the recommendations contained in this report.

Christina Binoya

Financial Accounting Manager

I concur with the recommendations contained in this report.

Matt Smith

General Manager (Corporate Services)

 

“Together, we proudly enhance the quality of life for our community”

 


Finance and Governance Committee

Meeting Agenda

18 March

2025

 

Doc ID No: A11268920

 

ITEM:            9

SUBJECT:      Plant Hire (Wet Hire) Services Increase Contract Spend

AUTHOR:      Category Specialist

DATE:           28 February 2025

Executive Summary

This is a report concerning an update on the increased expenditure associated with the recent extension for Preferred Supply Arrangement for Plant Hire (Wet Hire) Services completed in November 2024 under the final option term for Contract #13484.

Recommendation/s

A.           That Council note an increase in expenditure to Councils preferred supply arrangement for the provision of Plant Hire (Wet Hire) Services from $11,500,000.00 to $18,179,000.00 based on current spend to date and the forecasted spend anticipated during the final option term due to expire
29 November 2025.

B.           That Council note the increase in expenditure with the attached suppliers with a cumulative spend with individual contractors greater than $2,000,000.00

C.           That pursuant to Section 257(1)(b) of the Local Government Act 2009, Council resolve to delegate to the Chief Executive Officer the power to take “contractual action” pursuant to Section 238 of the Regulation, in order to implement Council’s decision.

RELATED PARTIES

The contracts relating to this extension include:

2004 - DIGGIT PLANT HIRE PTY LTD

2005 - JCB INVESTMENTS PTY LTD

2002 - GWT EARTHMOVING

2010 - INFINITY EARTHMOVING PTY LTD

2009 - The BOBCAT BLOKE

2003 - COASTAL EARTHWORX

2011 - BOSS CRANE HIRE PTY LTD

2006 - DOYLE PLANT HIRE PTY LTD

2008 - DA & L PAYNE

5133 - DANNICK ENTERPRISE

2007 - SUPERIOR EARTHWORK

5196 - FINCH INSTALLATIONS PTY LTD

There were no declaration of conflicts of interest.

ifuture Theme

A Trusted and Leading Organisation

Purpose of Report/Background

As per Council resolution on 5 November 2020, Council entered into a Preferred Supply Arrangement with 24 suppliers for the provision of Plant Hire (Wet Hire) Services.  The term of the contract was for an initial two (2) year term with the ability to extend the term up to three (3) one (1) year terms.

The original report submitted included a spend estimate of $11.5m inclusive of extension options.   The forecasted spend for the duration of contract is $18m.  In the years of 2021-2022 and 2022-2023 we saw a spike in spend due to Flood Recovery.

On 22 November 2024 the CEO approved the final available extension for the 2024-2025 period which had 12 suppliers extended for the final term.

Forecasted analysis suggest three (3) suppliers will be in excess of $2m by the end of the final term as per attachment listed in Recommendation B.

Legal IMPLICATIONS

 

This report and its recommendations are consistent with the following legislative provisions:

Local Government Act 2009

Local Government Regulation 2012

policy implications

 

The matter of this report is consistent with the Procurement Policy.  No other policies have been identified that would be impacted.

RISK MANAGEMENT IMPLICATIONS

There are no risks to Council as this report is for information only and no recommendation has been presented.

Financial/RESOURCE IMPLICATIONS

 

Funding is available from within existing approved budgets.

Expenditure relating to the flood recovery program was funded through grants under the Queensland Reconstruction Authority (QRA).


 

COMMUNITY and OTHER CONSULTATION

The following internal stakeholders were consulted and support the recommendations:

·    Building Construction and Maintenance Category Manager

·    Manager, Procurement

Conclusion

It is recommended that Council approves the spend provided in this report for the preferred supply arrangement for the provision of Plant Hire (Wet Hire) Services.

HUMAN RIGHTS IMPLICATIONS

 

HUMAN RIGHTS IMPACTS

OTHER DECISION

 

 

(a)  What is the Act/Decision being made?

Nil Recommendation – Information Only

 

(b) What human rights are affected?

Not Appliable

 

(c)  How are the human rights limited?

Not Applicable

 

(d) Is there a good reason for limiting the relevant rights? Is the limitation fair and reasonable?

Not Applicable

 

(e)  Conclusion

The decision is consistent with human rights.

 

Attachments and Confidential Background Papers

 

 

CONFIDENTIAL

1.

Plant Hire (Wet Hire) Services  

 

Tara Hamilton-Smith

Category Specialist

I concur with the recommendations contained in this report.

Wayne Bichel

Building Construction and Maintenance Category Manager


 

I concur with the recommendations contained in this report.

Tanya Houwen

Manager, Procurement

I concur with the recommendations contained in this report.

Matt Smith

General Manager (Corporate Services)

 

“Together, we proudly enhance the quality of life for our community”

 


Finance and Governance Committee

Meeting Agenda

18 March

2025

 

Doc ID No: A11201097

 

ITEM:            10

SUBJECT:      2025-2026 Fees and Charges - early approval for Animal Management, Health and Regulatory Services and selected Road Regulation fees

AUTHOR:      Treasury Accounting Manager

DATE:           10 February 2025

Executive Summary

This is a report concerning the fees for animal management, public health, food business and road regulation licences and associated services for the 2025-2026 financial year.  It is proposed to adopt this selection of fees and charges ahead of the main budget process for the forthcoming financial year, so as to allow licence and registration renewals to be issued with 30-60 days advanced notice.  All other fees will be submitted to Council for approval at the scheduled meeting of 29 May 2025.  

Recommendation/s

That the proposed fees and charges for animal management, public health, food business and road regulation licences and associated services, as detailed in Attachment 1, be adopted with an effective date of 1 July 2025.

RELATED PARTIES

This report deals with the adoption of the pricing of fees and charges and does not specifically reference any third party. There have been no conflicts of interest declared as at the date of this report. Councillors should consider where fees and charges may impact on their other interests or activities.

ifuture Theme

A Trusted and Leading Organisation

Purpose of Report/Background

 

Section 98 of the Local Government Act 2009 (LGA) requires Council to maintain a publicly available register of cost recovery fees. Council’s current register lists over nine hundred products and services, encompassing both cost recovery and commercial fees.

 

The register captures all fees and charges, with the exception of property rates, penalties, levies, grants and commercial leases.

 

An annual review is undertaken prior to the start of each financial year as part of the budget process. While the annual review is coordinated by the Finance Branch, Departments remain responsible for developing recommendations to Council with regard to the proposed fees and charges.

 

The outcomes of this annual review are being submitted to Council for consideration via two (2) separate reports; this report addressing regulatory fees which require advanced approval, and a second report in May to present all other fee proposals. Certain annual license and registration renewals associated with animal management, public health, food businesses, and road regulation require a minimum notice period of 30 or 60 days, as prescribed by regulations, to allow customers adequate time for processing and payment. Additionally, Council must account for internal/external printing and postage timeframes.

 

For instance, food business licenses must be issued at least 60 days before the renewal date (the start of the financial year), while dog registration renewals require at least 14 days. However, as a courtesy, Council has historically issued these notices at least one month in advance.

In reviewing fees and charges, the Departments consider increases in the underlying costs of service delivery, consistency of the fees with Council policy and objectives, financial impact analysis and benchmarking of charges. Departments are also requested to undertake analysis of market conditions and stakeholder consultation where appropriate.

Preliminary budget discussions suggest no significant changes to the existing fee structure arising from this year’s review, with most fees proposed to be subject to standardised price increases.

Fees will generally be priced as:

a) full or partial cost recovery (as required for local government approvals such as permits and licences under the Local Government Act 2009 s97), or

b) commercial fees (generally based on market rates so as to not adversely impact competition).

Approximately two thirds of fees are cost recovery fees, which generate the majority of Councils fees and charges revenue.

Provided there is no material change to the manner of service delivery for a cost recovery fee, the Finance Branch recommends as part of the annual review that cost recovery fees be increased in line with the forecast Council Cost Index (CCI) as a reasonable estimate of the increase in underlying delivery costs. The CCI is a specific indexation which reflects forecasted increase in the cost of Council service delivery, calculated on the basis of anticipated growth in wages, construction costs and the Consumer Price Index for the relevant financial year.

The proposed CCI for fees from 1 July 2025 is 4%. Rounding is applied to fee prices after escalation.

A selection of fees in Planning and Development are proposed to be subject to increases of 5% or 6%, in line with underlying cost increases in this sector, and industry benchmarks. These sections will be included in the May submission.

Commercial fees, which account for approximately one quarter of all fees, are set on the basis of competitive market benchmarks, and/or cost plus margin calculations.

Regulatory Fees subject to early approval

The draft register for fees related to animal management, public health, food business and road regulation licences and associated services is contained at Attachment 1Attachment 2 provides a summary of the proposed 2025-2026 fees and charges in comparison to the existing approved fees. Please note, due the extract of the required regulatory fees from the full document for the purposes of this report, the page numbers of Attachment 2 may contains gaps.

The majority of fees are proposed to be escalated in line with the standard council cost index, reflecting underlying delivery cost increases. Rounding is applied to all fees.

Animal management fees (Attachment 2, extracted pages 25 to 43), are typically set at or below cost recovery, balancing considerations regarding community services with the user pays principle.

Introductory dog registrations are proposed to remain unchanged at $20.00, with the low nominal cost intended to encourage dog registrations and responsible pet ownership.

Standard dog registration fees are proposed to increase by CCI plus rounding for entire dogs, and half that for desexed dogs. Fees for pensioner dogs are proposed to have a lesser increase which is consistent with resolutions from previous years. The most common dog registration categories are outlined below (refer to Table 1).

   Table 1: Summary of the proposed common dog registration fees:

The only notable proposed change is the inclusion of fees to accommodate one owner who may have more than one menacing or dangerous dog held at their property (Attachment 2, extracted pages 35 to 38). The introduction of a reduced fee for secondary menacing or dangerous dogs held at one property is to acknowledge that multiple regulated dogs at one property doesn't necessarily increase the officer time for inspecting the enclosure.

Restricted dog permits (Attachment 2, extracted page 29) are proposed to be discontinued as there are no current restricted or prohibited dogs registered in the Ipswich Local Government area, and new registrations are not permitted under legislation. As such, this permit has become redundant.

Proposed fees for health and regulatory services (Attachment 2, extracted pages 46 to 55), and road regulation licences (Attachment 2, extracted pages 163, and 165 to 166) are subject to standard increases, consistent with prior years.

Legal IMPLICATIONS

 

This report and its recommendations are consistent with the following legislative provisions:

Local Government Act 2009 s97 and 98

Animal Management (Cats and Dogs) Act 2008

Food Act 2006 (Qld) (Part 5)

Public Health (Infection Control for Personal Appearance Services) Act 2003 (Qld)

policy implications

 

Fees and charges are established in accordance with Councils Revenue Policy.

No proposals for policy amendments have been raised in relation to the fees and charges addressed in this paper, or the services these fees relate to.

RISK MANAGEMENT IMPLICATIONS

The proposal to allow early adoption of selected licencing fees is intended to avoid any risk of regulatory timeframes for licence renewals not being met by Council.

The annual escalation of fees in line with cost recovery involves very limited financial risk. Where cost recovery requirements apply, risks associated with this are mitigated through costing exercises and benchmarking (where appropriate) being undertaken by the responsible department as a part of the review process.

Risks associated with individual service offerings are managed operationally by the responsible Department.

Financial/RESOURCE IMPLICATIONS

The fees and charges which are the subject of this paper are set at or below cost recovery, in line with the requirements of the LGA. As such, licensees pay no more than what it costs council to administer the regulatory service in question. The CCI escalation rate applied to fees is smoothed to reflect a medium-term trend so as to avoid any significant price increases for licensees in any one financial year.

Revenue from these selected animal management, public health, food business and road regulation services constitute only a small portion of Councils fees and charges revenue. As the proposed increases are in line with underlying cost increases, the net financial impact of the proposed changes will be minimal.

The revenue and delivery cost forecasts associated with priced services will be subject to more detailed articulation through the budget development process.

COMMUNITY and OTHER CONSULTATION

Where applicable, the Planning and Regulatory Services Department has undertaken stakeholder consultation with regard to the pricing of fees and scope of available services.

Conclusion

Early approval of the fees and charges applicable for selected public health, food business and road regulation licences and associated services is being sought so as to ensure licensees have an adequate notice period – of at least 60 days – within which to complete their annual renewals.    

HUMAN RIGHTS IMPLICATIONS

 

HUMAN RIGHTS IMPACTS

OTHER DECISION

 

 

(a)  What is the Act/Decision being made?

Recommendation A seeks Council approval for selected 2025-26 Fees and Charges, as detailed in Attachment 1 to the report, to be adopted with an effective date of 1 July 2025.

(b) What human rights are affected?

This decision has the potential to impact human rights in relation to:

-        Recognition and equality before the law, and

-        Taking part in public life

(c)  How are the human rights limited?

The application of fees and charges has potential to disadvantage some members of the community by limiting their ability to access Council services.

(d) Is there a good reason for limiting the relevant rights? Is the limitation fair and reasonable?

The proposed fees and charges do not apply to core Council services or public goods. Fees and Charges apply to services and goods which are optional to take up and benefit an individual or a business.

For regulatory fees, Council is required to charge not more than cost recovery for these services. 

Where genuine hardship or equity considerations exist, there is provision in the fees and charges for discounts and waivers to ensure access to services is made as broadly available as possible, whilst balancing the regulatory pricing requirements noted above, and other social policy objectives such as the user pays principle.

(e)  Conclusion

The decision is consistent with human rights.

 


 

Attachments and Confidential Background Papers

 

1.

Draft Register of Fees and Charges to apply 1 July 2025 (Animal Management, Health and Road Regulation fees only) (under separate cover)  

2.

Comparison of 2024-2025 and Draft 2025-2026 Fees and Charges for Animal Management, Health and Road Regulation

 

Paul Mollenhauer

Treasury Accounting Manager

I concur with the recommendations contained in this report.

Christina Binoya

Acting Chief Financial Officer

I concur with the recommendations contained in this report.

Matt Smith

General Manager (Corporate Services)

 

“Together, we proudly enhance the quality of life for our community”

 


Finance and Governance Committee

Meeting Agenda

18 March

2025

Item 10 / Attachment 2.








































Finance and Governance Committee

Meeting Agenda

18 March

2025

 

Doc ID No: A11287749

 

ITEM:            11

SUBJECT:      Monthly Financial Performance Report - February 2024

AUTHOR:      Financial Accounting Manager

DATE:           7 March 2025

 

Executive Summary

This is a report concerning Ipswich City Council’s (Council) financial performance for the period ending 28 February 2025, submitted in accordance with section 204 of the Local Government Regulation 2012.

Recommendation/s

That the report on Council’s financial performance for the period ending
28 February 2025, submitted in accordance with section 204 of the Local Government Regulation 2012, be considered and noted by Council

RELATED PARTIES

Not applicable

ifuture Theme

A Trusted and Leading Organisation

Purpose of Report/Background

This report outlines the financial results for Council as at 28 February 2025. The financial results are reported against the amended budget which was approved by Council at the February meeting.

The total net result (including capital revenue) for Council as of 28 February 2025 is a surplus of $133.5 million compared to the year to date (YTD) budget surplus of $107.2 million.

Council’s YTD operating surplus (excluding capital revenue) is $4.2 million compared to the budgeted YTD deficit of $815k. The explanations are outlined further in the report.

Overall, capital expenditure including the Nicholas Street Redevelopment YTD but excluding Asset donations, the Voluntary Home Buy Back and Disaster Recovery is $14.7 million below budget YTD. Asset donations as of 28 February 2025 are $27.5 million above the YTD budget.


 

Revenue

Operating revenue is $3.8 million above the YTD budget which is mainly due to fees and charges for animal management, waste services and planning and development, and additional Urban Utilities tax revenue.

Similar to the prior months, rates revenue continues to be below budget ($2.2 million) due to one-off valuation adjustments and lower growth than budgeted.  This will continue to be monitored with a continuing trend in rates revenue presenting an ongoing risk.

Expenses

Overall operating expenses are approximately $1.2 million below YTD budget.

Employee expenses (including labour contracts) are over budget by $2.2 million which is due in part to greater than budgeted labour contracts as well as less labour charging to capital projects than budgeted.

Materials and services (excluding labour contracts) are under budget by $7.3 million which is mainly due to the timing of expenditure.  It is expected that this variance will reduce prior to the end of the financial year, however some risk remains.  In addition, the Nicholas Street Precinct and consultants spend are lower than budget.

Depreciation is over budget by $1.6 million due to catch-up deprecation being recorded in February 2025.  Depreciation will continue to be monitored during the financial year as capital works are undertaken and construction projects are capitalised.

 

Capital

The total YTD capital expenditure (including the Nicholas Street Redevelopment and excluding Asset donations, the Voluntary Home Buy Back and Disaster Recovery) is
$84.2 million compared to the YTD budget of $98.9 million.

The Nicholas Street Precinct Redevelopment is tracking under budget by approximately $3.9 million due delays in finalising incentive payments to tenants.

Asset and Infrastructure Services Infrastructure Program YTD capital expenditure (excluding Voluntary Home Buy Back and Disaster Recovery) is $58.4 million compared to budget of $64 million. This is under budget primarily due to delays in the asset rehabilitation program and delayed delivery of new trucks.

Cash Balances

Council’s cash and cash equivalents balance as at 28 February 2025 was $163.8 million and slightly below forecasts. The Treasury team continues to  review the cash position to understand key drivers. 


 

Legal IMPLICATIONS

 

This report and its recommendations are consistent with the following legislative provisions:

Local Government Regulation 2012

policy implications

Council’s financial position is managed in accordance with the Financial Management Policy.

RISK MANAGEMENT IMPLICATIONS

The favourable operating result of a $4.2 million surplus against a budgeted deficit of
$815k is mainly driven by higher operating revenues and lower materials and services expenditure.  Whilst some underspends in materials and services will be resolved over the coming months, there is a risk this underspend may continue.

Rateable property growth is presently below forecast and impacts for the coming years will need to be considered as part of ongoing budget discussions.

In the lead up to the end of financial year, the Finance Branch are preparing to process accounting adjustments which will result in transfers from capex to opex, particularly in the ICT area. These adjustments will be noted in the report as they occur. These risks will continue to be monitored as the year progresses.

Financial/RESOURCE IMPLICATIONS

There are no specific financial implications as a result of this report.

COMMUNITY and OTHER CONSULTATION

The contents of this report did not require any community consultation. Analysis and explanations of the variances are undertaken in conjunction with the various departments.

Conclusion

Regular reporting and monitoring of Council’s financial position will continue during the financial year as part of Council’s regular governance and reporting process.

HUMAN RIGHTS IMPLICATIONS

 

HUMAN RIGHTS IMPACTS

RECEIVE AND NOTE REPORT

 

The Recommendation states that the report be received and the contents noted. The decision to receive and note the report does not limit human rights. Therefore, the decision is compatible with human rights.

 

 

 

Attachments and Confidential Background Papers

 

1.

Monthly Financial Performance Report - February 2025

 

Hollie Rigby-Saltmarsh

Financial Accounting Manager

I concur with the recommendations contained in this report.

Christina Binoya

Acting Chief Financial Officer

I concur with the recommendations contained in this report.

Matt Smith

General Manager (Corporate Services)

 

“Together, we proudly enhance the quality of life for our community”

 


Finance and Governance Committee

Meeting Agenda

18 March

2025

Item 11 / Attachment 1.